Associate Data Science Course in Python by DataCamp Inc
Published
October 21, 2025
Chapter 1: Introduction to Seaborn
Chapter 1.1: What is Seaborn?
What is Seaborn? Seaborn is a powerful Python library for creating data visualizations. It was developed in order to make it easy to create the most common types of plots. The plot shown here can be created with just a few lines of Seaborn code.
This is a picture of a typical data analysis workflow. Data visualization is often a huge component of both the data exploration phase and the communication of results, so Seaborn will be very useful there.
Advantages of Seaborn
There are several tools that can be used for data visualization, but Seaborn offers several advantages. First, Seaborn’s main purpose is to make data visualization easy. It was built to automatically handle a lot of complexity behind the scenes. Second, Seaborn works extremely well with pandas data structures. pandas is a Python library that is widely used for data analysis. Finally, it’s built on top of Matplotlib, which is another Python visualization library. Matplotlib is extremely flexible. Seaborn allows you to take advantage of this flexibility when you need it, while avoiding the complexity that Matplotlib’s flexibility can introduce.
Getting started
To get started, we’ll need to import the Seaborn library. The line "import seaborn as sns" will import Seaborn as the conventionally used alias "sns". Why "sns"? The Seaborn library was apparently named after a character named Samuel Norman Seaborn from the television show "The West Wing" - thus, the standard alias is the character’s initials ("sns"). We also need to import Matplotlib, which is the library that Seaborn is built on top of. We do this by typing "import matplotlib.pyplot as plt". "plt" is the alias that most people use to refer to Matplotlib, so we’ll use that here as well.
# Import packagesimport seaborn as snsimport matplotlib.pyplot as plt
Example 1: Scatter plot
Let’s now dive into an example to illustrate how easily you can create visualizations using Seaborn. Here, we have data for 10 people consisting of lists of their heights in inches and their weights in pounds. Do taller people tend to weigh more? You can visualize this using a type of plot known as a scatter plot, which you’ll learn more about later in the course. Use "sns.scatterplot()" to call the scatterplot function from the Seaborn library. Then, specify what to put on the x-axis and y-axis. Finally, call the "plt.show()" function from Matplotlib to show the scatterplot. This plot shows us that taller people tend to have a higher weight.
# Import packagesimport seaborn as snsimport matplotlib.pyplot as plt# Import datasetdf = pd.read_csv("datasets/data.csv")sns.scatterplot(x=weights, y=heights, data = df)# Show plotplt.show()
Example 2: Create a count plot
How many of our observations of heights and weights came from males vs. females? You can use another type of plot - the count plot - to investigate this. Count plots take in a categorical list and return bars that represent the number of list entries per category. Use the "countplot()" function and provide the list of every person’s gender. This count plot shows that out of the 10 observations we had in our height and weight scatter plot, 6 were male and 4 were female.
# Import packagesimport seaborn as snsimport matplotlib.pyplot as plt# Import datasetdf = pd.read_csv("datasets/data.csv")sns.countplot(x='Gender', data = df)# Show plotplt.show()
Course Preview
Now, those were a couple of simple examples. Throughout this course, you’ll learn to make more complex visualizations such as those pictured here. More importantly, you’ll learn when to use each type of visualization in order to most effectively extract and communicate insights using data.
Create scatter plot with GDP on the x-axis and number of phones on the y-axis.
Change this scatter plot to have percent literate on the y-axis.
Create count plot with region on the y-axis.
Code
# Import packagesimport matplotlib.pyplot as pltimport seaborn as snsimport pandas as pd# Load datasetdf = pd.read_csv("datasets/countries-of-the-world.csv")# List of columns to convert to numericnum_cols = ['Pop. Density (per sq. mi.)','Coastline (coast/area ratio)','Net migration','Infant mortality (per 1000 births)','GDP ($ per capita)','Literacy (%)','Phones (per 1000)','Arable (%)','Crops (%)','Other (%)','Climate','Birthrate','Deathrate','Agriculture','Industry','Service']# Convert columns to numeric (float), forcing errors to NaNfor col in num_cols: df[col] = pd.to_numeric(df[col].astype(str).str.replace(',', '').str.strip(), errors='coerce')# Create scatter plot with GDP on the x-axis and number of phones on the y-axissns.scatterplot(x='GDP ($ per capita)', y='Phones (per 1000)', data=df)plt.title('GDP vs Number of Phones')plt.xlabel('GDP ($ per capita)')plt.ylabel('Phones (per 1000 people)')plt.show()# Change this scatter plot to have percent literate on the y-axissns.scatterplot(x='GDP ($ per capita)', y='Literacy (%)', data=df)plt.show()# Create count plot with region on the y-axissns.countplot(y='Region', data = df) # Show plot plt.show()
Chapter 1.2: Using pandas with Seaborn
Data scientists commonly use pandas to perform data analysis, so it’s a huge advantage that Seaborn works extremely well with pandas data structures. Let’s see how this works!
What is pandas?
pandas is a python library for data analysis. It can easily read datasets from many types of files including csv and txt files. pandas supports several types of data structures, but the most common one is the DataFrame object. When you read in a dataset with pandas, you will create a DataFrame.
Working with DataFrames
Let’s look at an example. First, import the pandas library as "pd". Then, use the "read_csv" function to read the csv file named "masculinity.csv" and create a pandas DataFrame called "df". Calling "head" on the DataFrame will show us its first five rows. This dataset contains the results of a survey of adult men. We can see that it has four columns: "participant_id"; "age"; "how_masculine", which is that person’s response to the question "how masculine or 'manly' do you feel?"; and "how_important", which is the response to the question "how important is it to you that others see you as masculine?"
Load and preview masculinity survey data
# Import the pandas libraryimport pandas as pd# Data provided by the user, extended to 20 rowsmasculinity = {'participant_id': list(range(1, 21)),'age': [35, 42, 29, 51, 37, 30, 45, 55, 25, 33, 40, 48, 28, 39, 47, 53, 26, 34, 43, 50],'how_masculine': ['very', 'somewhat', 'very', 'not at all', 'somewhat', 'very', 'somewhat', 'very', 'not at all', 'somewhat', 'very', 'somewhat', 'very', 'not at all', 'somewhat', 'very', 'somewhat', 'very', 'not at all', 'somewhat'],'how_important': ['very', 'somewhat', 'not very', 'somewhat', 'very', 'very', 'somewhat', 'not very', 'somewhat', 'very', 'very', 'somewhat', 'not very', 'somewhat', 'very', 'very', 'somewhat', 'not very', 'somewhat', 'very']}# Create the DataFramedf = pd.DataFrame(masculinity)# Display the first five rows of the DataFrameprint(df.head())
participant_id age how_masculine how_important
0 1 35 very very
1 2 42 somewhat somewhat
2 3 29 very not very
3 4 51 not at all somewhat
4 5 37 somewhat very
Using DataFrames with countplot()
Now let’s look at how to make a count plot with a DataFrame instead of a list of data. The first thing we’ll do is import pandas, Matplotlib and Seaborn as we have in past examples. Then, we’ll create a pandas DataFrame called "df" from the masculinity csv file. To create a count plot with a pandas DataFrame column instead of a list of data, set x equal to the name of the column in the DataFrame - in this case, we’ll use the "how_masculine" column. Then, we’ll set the data parameter equal to our DataFrame, "df". After calling "plt.show", we can see that we have a nice count plot of the values in the "how_masculine" column of our data. This plot shows us that the most common response to the question "how masculine or 'manly' do you feel?" is "somewhat", with "very" being the second most common response. Note also that because we’re using a named column in the DataFrame, Seaborn automatically adds the name of the column as the x-axis label at the bottom.
Code
# Import librariesimport matplotlib.pyplot as pltimport seaborn as snsimport pandas as pd# Data provided by the user, extended to 20 rowsmasculinity = {'participant_id': list(range(1, 21)),'age': [35, 42, 29, 51, 37, 30, 45, 55, 25, 33, 40, 48, 28, 39, 47, 53, 26, 34, 43, 50],'how_masculine': ['very', 'somewhat', 'very', 'not at all', 'somewhat', 'very', 'somewhat', 'very', 'not at all', 'somewhat', 'very', 'somewhat', 'very', 'not at all', 'somewhat', 'very', 'somewhat', 'very', 'not at all', 'somewhat'],'how_important': ['very', 'somewhat', 'not very', 'somewhat', 'very', 'very', 'somewhat', 'not very', 'somewhat', 'very', 'very', 'somewhat', 'not very', 'somewhat', 'very', 'very', 'somewhat', 'not very', 'somewhat', 'very']}# Create the DataFramedf = pd.DataFrame(masculinity)# Create a count plot using the 'how_masculine' columnsns.countplot(x="how_masculine", data=df)# Display the plotplt.show()
Figure 1: Distribution of Masculinity Perception.
“Tidy” data
Let’s pause for an important note here. Seaborn works great with pandas DataFrames, but only if the DataFrame is "tidy". "Tidy data" means that each observation has its own row and each variable has its own column. The "masculinity" DataFrame shown here is tidy because each row is a survey response with one answer to each survey question in each column. Making a count plot with the "how masculine" column works just like passing in a list of that column’s values.
“Untidy” data
In contrast, here is an example of an "untidy" DataFrame made from the same survey on masculinity. In this untidy DataFrame, notice how each row doesn’t contain the same information. Row 0 contains the age categories, rows 1 and 7 contain the question text, and the other rows contain summary data of the responses. This will not work well with Seaborn. Unlike the tidy DataFrame, values in the "Age" column don’t look like a list of age categories for each observation. Transforming untidy DataFrames into tidy ones is possible, but it’s not in scope for this course. There are other DataCamp courses that can teach you how to do this.
Chapter 1.3: Adding a third variable with hue
We saw in the last lesson that a really nice advantage of Seaborn is that it works well with pandas DataFrames. In this lesson, we’ll see another big advantage that Seaborn offers: the ability to quickly add a third variable to your plots by adding color.
Tips dataset
To showcase this cool feature in Seaborn, we’ll be using Seaborn’s built-in tips dataset. You can access it by using the "load dataset" function in Seaborn and passing in the name of the dataset. These are the first five rows of the tips dataset. This dataset contains one row for each table served at a restaurant and has information about things like the bill amount, how many people were at the table, and when the table was served. Let’s explore the relationship between the "total_bill" and "tip" columns using a scatter plot.
Code
# Import required librariesimport seaborn as snsimport pandas as pdimport matplotlib.pyplot as plt# Load Seaborn's built-in 'tips' datasetdf = sns.load_dataset("tips")# Display the first five rowsdf.head()
total_bill
tip
sex
smoker
day
time
size
0
16.99
1.01
Female
No
Sun
Dinner
2
1
10.34
1.66
Male
No
Sun
Dinner
3
2
21.01
3.50
Male
No
Sun
Dinner
3
3
23.68
3.31
Male
No
Sun
Dinner
2
4
24.59
3.61
Female
No
Sun
Dinner
4
A basic scatter plot
Here is the code to generate it. The total bill per table (in dollars) is on the x-axis, and the total tip (in dollars) is on the y-axis. We can see from this plot that larger bills are associated with larger tips. What if we want to see which of the data points are smokers versus non-smokers? Seaborn makes this super easy.
Code
# Import required librariesimport seaborn as snsimport pandas as pdimport matplotlib.pyplot as plt# Load Seaborn's built-in 'tips' datasetdf = sns.load_dataset("tips")sns.scatterplot(x="total_bill", y="tip", data=df)# Show the figureplt.show()
Figure 2: Relationship Between Total Bill and Tip.
A scatter plot with hue
You can set the "hue" parameter equal to the DataFrame column name "smoker" and then Seaborn will automatically color each point by whether they are a smoker. Plus, it will add a legend to the plot automatically! If you don’t want to use pandas, you can set it equal to a list of values instead of a column name.
Code
# Import librariesimport seaborn as snsimport matplotlib.pyplot as plt# Load the built-in 'tips' datasetdf = sns.load_dataset("tips")# Create scatter plot with 'hue' parametersns.scatterplot(x="total_bill", y="tip", hue="smoker", data=df)# Display the plotplt.show()
Figure 3: Relationship Between Total Bill and Tip by Smoking Status.
Setting hue order
Hue also allows you to assert more control over the ordering and coloring of each value. The “hue order” parameter takes in a list of values and will set the order of the values in the plot accordingly. Notice how the legend for smoker now lists "yes" before "no".
Code
# Import librariesimport seaborn as snsimport matplotlib.pyplot as plt# Load the built-in 'tips' datasetdf = sns.load_dataset("tips")# Create scatter plot with controlled hue ordersns.scatterplot( x="total_bill", y="tip", hue="smoker", hue_order=["Yes", "No"], data=df)# Show the plotplt.show()
Figure 4: Relationship Between Total Bill and Tip by Smoking Status (Hue Order Set).
Specifying hue Colors
You can also control the specific colors assigned to each category by using the palette parameter.
This parameter accepts a dictionary, which maps each unique value of the hue variable to a desired color. For instance, we can create a dictionary called hue_colors that maps "Yes" to black and "No" to red. Then, by setting hue="smoker" and palette=hue_colors, we’ll produce a scatter plot where smokers are represented by black dots and non-smokers by red dots.
Code
# Import librariesimport seaborn as snsimport matplotlib.pyplot as plt# Load the built-in 'tips' datasetdf = sns.load_dataset("tips")# Define custom color mapping for huehue_colors = {"Yes": "black", "No": "red"}# Create scatter plot with custom hue colorssns.scatterplot( x="total_bill", y="tip", hue="smoker", palette=hue_colors, data=df)# Display the plotplt.show()
Figure 5: Relationship Between Total Bill and Tip by Smoking Status (Custom Order Set).
Color options
In the last example, we used the words “black” and “red” to define what the hue colors should be. This only works for a small set of color names that are defined by Matplotlib. Here is the list of Matplotlib colors and their names. Note that you can use a single-letter Matplotlib abbreviation instead of the full name. You can also use an HTML color hex code instead of these Matplotlib color names, which allows you to choose any color you want to.
Code
# Import librariesimport seaborn as snsimport matplotlib.pyplot as plt# Load the built-in 'tips' datasetdf = sns.load_dataset("tips")# Define custom color mapping for huehue_colors = {"Yes": "k", "No": "r"}# Create scatter plot with custom hue colorssns.scatterplot( x="total_bill", y="tip", hue="smoker", palette=hue_colors, data=df)# Display the plotplt.show()
Using HTML hex color codes with hue
Here’s an example using HTML hex codes. Make sure you put the hex codes in quotes with a pound sign at the beginning.
Code
# Define colors using HTML hex codeshue_colors = {"Yes": "#000000", "No": "#FF0000"}# Create scatter plot with hex colorssns.scatterplot(x="total_bill",y="tip",hue="smoker",palette=hue_colors,data=df)plt.show()
Figure 6: Total Bill vs Tip — Custom Hex Color Palette.
Using hue with count plots
As a final note, hue is available in most of Seaborn’s plot types. For example, this count plot shows the number of observations we have for smokers versus non-smokers, and setting "hue" equal to "sex" divides these bars into subgroups of males versus females. From this plot, we can see that males outnumber females among both smokers and non-smokers in this dataset.
Code
# Create count plot with hue for 'sex'sns.countplot(x="smoker", hue="sex", data=df)# Show figureplt.show()
Exercise 1.3
In the prior lesson, we learned how hue allows us to easily make subgroups within Seaborn plots. Let’s try it out by exploring data from students in secondary school. We have a lot of information about each student like their age, where they live, their study habits and their extracurricular activities.
Create a scatter plot of absences vs. final grade.
Show plot.
Code
# Import packagesimport matplotlib.pyplot as pltimport seaborn as snsimport pandas as pd# Import datasetstudent_data = pd.read_csv('datasets/student-alcohol-consumption.csv')# Create a scatter plot of absences vs. final gradesns.scatterplot(x="absences", y="G3", data=student_data)# Show plotplt.show()
Exercise 1.3.2
Create a scatter plot with "absences" on the x-axis and final grade ("G3") on the y-axis using the DataFrame student_data. Color the plot points based on "location" (urban vs. rural).
Make "Rural" appear before "Urban" in the plot legend.
Code
# Change the legend order in the scatter plotsns.scatterplot(x="absences", y="G3", data=student_data, hue="location", hue_order=["Rural", "Urban"])plt.show()
Exercise 1.3.3
Fill in the palette_colors dictionary to map the "Rural" location value to the color "green" and the "Urban" location value to the color "blue".
Create a count plot with "school" on the x-axis using the student_data DataFrame.
Add subgroups to the plot using "location" variable and use the palette_colors dictionary to make the location subgroups green and blue.
Code
# Import Matplotlib, Seaborn, and Pandasimport matplotlib.pyplot as pltimport seaborn as snsimport pandas as pd# Import datasetstudent_data = pd.read_csv('datasets/student-alcohol-consumption.csv')# Create a dictionary mapping subgroup values to colorspalette_colors = {"Rural": "green", "Urban": "blue"}# Create a count plot of school with location subgroupssns.countplot( x="school", hue="location", data=student_data, palette=palette_colors)# Display plotplt.show()
Chapter 2.1: Introduction to relational plots and subplots
Many questions in data science are centered around describing the relationship between two quantitative variables. Seaborn calls plots that visualize this relationship "relational plots".
Questions about quantitative variables
So far we’ve seen several examples of questions about the relationship between two quantitative variables, and we answered them with scatter plots. These examples include: "do taller people tend to weigh more?", "what's the relationship between the number of absences a student has and their final grade?" and "how does a country's GDP relate to the percent of the population that can read and write?" Because they look at the relationship between two quantitative variables, these scatter plots are all considered relational plots.
Visualizing subgroups
While looking at a relationship between two variables at a high level is often informative, sometimes we suspect that the relationship may be different within certain subgroups. In the last chapter, Section 1.3.2, we started to look at subgroups by using the "hue" parameter to visualize each subgroup using a different color on the same plot.
Visualizing subgroups
In this lesson, we’ll try out a different method: creating a separate plot per subgroup.
Introducing relplot()
To do this, we’re going to introduce a new Seaborn function: "relplot()". "relplot()" stands for "relational plot" and enables you to visualize the relationship between two quantitative variables using either scatter plots or line plots. You’ve already seen scatter plots, and you’ll learn about line plots later in this chapter. Using "relplot()" gives us a big advantage: the ability to create subplots in a single figure. Because of this advantage, we’ll be using "relplot()" instead of "scatterplot()" for the rest of the course.
scatterplot() vs. relplot()
Let’s return to our scatter plot of total bill versus tip amount from the tips dataset. In the last lesson, Figure 2, we see how to create a scatter plot with the "scatterplot" function. To make it with "relplot()" instead, we change the function name to "relplot()" and use the "kind" parameter to specify what kind of relational plot to use - scatter plot or line plot. In this case, we’ll set kind equal to the word "scatter".
Code
# Import librariesimport seaborn as snsimport matplotlib.pyplot as plt# Load the built-in 'tips' datasetdf = sns.load_dataset("tips")# Change the scatterplot to relplotsns.relplot(x="total_bill", y="tip", data=df, kind="scatter")# Adjust layout and displayplt.show()
Figure 7: Total bill Vs Tip.
Subplots in columns
By setting “col” equal to “smoker”, we get a separate scatter plot for smokers and non-smokers, arranged horizontally in columns.
Code
# Import librariesimport seaborn as snsimport matplotlib.pyplot as plt# Load the built-in 'tips' datasetdf = sns.load_dataset("tips")# Change the scatterplot to relplotsns.relplot(x="total_bill", y="tip", data=df, kind="scatter", col ="smoker")# Adjust layout and displayplt.show()
Figure 8: Total bill Vs Tip by Smoking Status.
Subplots in rows
If you want to arrange these vertically in rows instead, you can use the “row” parameter instead of “col”.
Code
# Import librariesimport seaborn as snsimport matplotlib.pyplot as plt# Load the built-in 'tips' datasetdf = sns.load_dataset("tips")# Change the scatterplot to relplotsns.relplot(x="total_bill", y="tip", data=df, kind="scatter", row ="smoker")# Adjust layout and displayplt.show()
Figure 9: Total bill Vs Tip by Smoking Status.
Subplots in rows and columns
It is possible to use both "col" and "row" at the same time. Here, we set "col" equal to smoking status and "row" equal to the time of day (lunch or dinner). Now we have a subplot for each combination of these two categorical variables.
Code
# Import librariesimport seaborn as snsimport matplotlib.pyplot as plt# Load the built-in 'tips' datasetdf = sns.load_dataset("tips")# Change the scatterplot to relplotsns.relplot(x="total_bill", y="tip", data=df, kind="scatter", col ="smoker", row ="time")# Adjust layout and displayplt.show()
Figure 10: Total bill Vs Tip by Smoking Status and Time of the day.
Subgroups for days of the week
As another example, let’s look at subgroups based on day of the week. There are four subplots here, which can be a lot to show in a single row. To address this, you can use the "col_wrap" parameter to specify how many subplots you want per row. Here, we set “col_wrap” equal to two plots per row.
Code
# Import librariesimport seaborn as snsimport matplotlib.pyplot as plt# Load the built-in 'tips' datasetdf = sns.load_dataset("tips")sns.relplot( x="total_bill", y="tip", col="time", kind="scatter", data=df, col_wrap=2)# Adjust layout and displayplt.show()
Figure 11: Total bill Vs Tip by Smoking Status and Time of the day.
Ordering columns
We can also change the order of the subplots by using the "col_order" and "row_order" parameters and giving it a list of ordered values.
Code
# Import librariesimport seaborn as snsimport matplotlib.pyplot as plt# Load the built-in 'tips' datasetdf = sns.load_dataset("tips")sns.relplot(x="total_bill",y="tip",col="time", # facet columns by time of dayrow="smoker", # facet rows by smoking statuscol_order=["Dinner", "Lunch"], # order of time categoriesrow_order=["Yes", "No"], # order of smoking categorieskind="scatter",data=df,height=4,aspect=1.2)# Adjust layout and displayplt.show()
Figure 12: Total bill Vs Tip by Smoking Status and Time of the day.
Exercise 2.1
Change to use relplot() instead of scatterplot().
Modify the code to create one scatter plot for each level of the variable "study_time", arranged in columns.
Adapt your code to create one scatter plot for each level of a student’s weekly study time, this time arranged in rows.
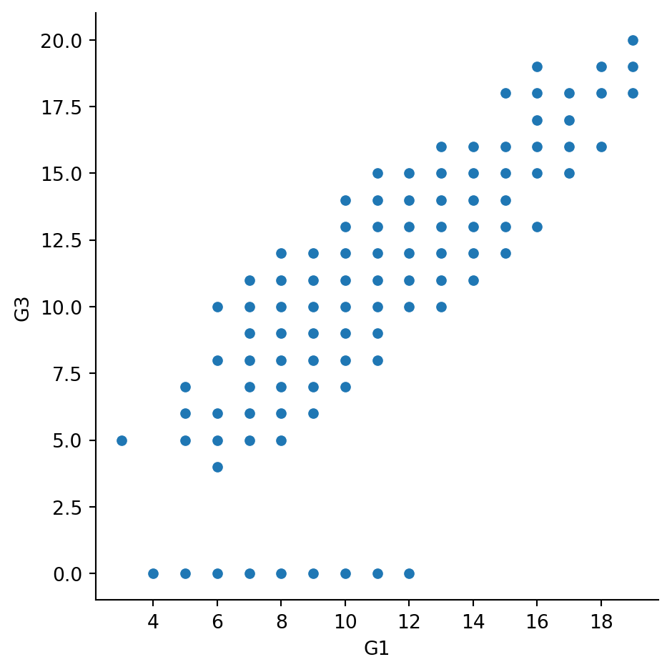
Use relplot() to create a scatter plot with "G1" on the x-axis and "G3" on the y-axis, using the student_data DataFrame.
Create column subplots based on whether the student received support from the school ("schoolsup"), ordered so that "yes" comes before "no".
Add row subplots based on whether the student received support from the family ("famsup"), ordered so that "yes" comes before "no". This will result in subplots based on two factors.
Code
# Import packagesimport matplotlib.pyplot as pltimport seaborn as snsimport pandas as pd# Import datasetstudent_data = pd.read_csv('datasets/student-alcohol-consumption.csv')# Change to use relplot() instead of scatterplot()sns.relplot(x="absences", y="G3", data=student_data, kind="scatter")# Show plotplt.show()# Modify the code to create one scatter plot for each level of the variable "study_time", arranged in columns.sns.relplot(x="absences", y="G3", data=student_data, kind="scatter", col="study_time")# Show plotplt.show()# Adapt your code to create one scatter plot for each level of a student's weekly study time, this time arranged in rows.sns.relplot(x="absences", y="G3", data=student_data, kind="scatter", row="study_time")# Show plotplt.show()# Use relplot() to create a scatter plot with "G1" on the x-axis and "G3" on the y-axis, using the student_data DataFrame.sns.relplot(x="G1", y="G3", data=student_data, kind="scatter")# Show plotplt.show()# Create column subplots based on whether the student received support from the school ("schoolsup"), ordered so that "yes" comes before "no".sns.relplot(x="G1", y="G3", data=student_data, kind="scatter", col ="schoolsup", col_order=["yes", "no"])# Show plotplt.show()# Add row subplots based on whether the student received support from the family ("famsup"), ordered so that "yes" comes before "no". This will result in subplots based on two factors.sns.relplot(x="G1", y="G3", data=student_data, kind="scatter", col="schoolsup", col_order=["yes", "no"], row="famsup", row_order=["yes", "no"])# Show plotplt.show()
Chapter 2.2: Customizing scatter plots
So far, we’ve only scratched the surface of what we’re able to do with scatter plots in Seaborn.
Scatter plot overview
As a reminder, scatter plots are a great tool for visualizing the relationship between two quantitative variables. We’ve seen a few ways to add more information to them as well, by creating subplots or plotting subgroups with different colored points. In addition to these, Seaborn allows you to add more information to scatter plots by varying the size, the style, and the transparency of the points. All of these options can be used in both the "scatterplot()" and "relplot()" functions, but we’ll continue to use "relplot()" for the rest of the course since it’s more flexible and allows us to create subplots. For the rest of this lesson, we’ll use the tips dataset to learn how to use each customization and cover best practices for deciding which customizations to use.
Subgroups with point size
The first customization we’ll talk about is point size. Here, we’re creating a scatter plot of total bill versus tip amount. We want each point on the scatter plot to be sized based on the number of people in the group, with larger groups having bigger points on the plot. To do this, we’ll set the "size" parameter equal to the variable name "size" from our dataset. As this example demonstrates, varying point size is best used if the variable is either a quantitative variable or a categorical variable that represents different levels of something, like "small", "medium", and "large". This plot is a bit hard to read because all of the points are of the same color.
Code
# Import librariesimport seaborn as snsimport matplotlib.pyplot as plt# Load the built-in 'tips' datasetdf = sns.load_dataset("tips")# Change the scatterplot to relplotsns.relplot(x="total_bill", y="tip", data=df, kind="scatter", size ="size")# Adjust layout and displayplt.show()
Figure 13: Total bill Vs Tip by Size.
Point size and hue
We can make it easier by using the "size" parameter in combination with the "hue" parameter. To do this, set "hue" equal to the variable name "size". Notice that because "size" is a quantitative variable, Seaborn will automatically color the points different shades of the same color instead of different colors per category value like we saw in previous plots. Now larger groups have both larger and darker points, which provides better contrast and makes the plot easier to read.
Code
# Import librariesimport seaborn as snsimport matplotlib.pyplot as plt# Load the built-in 'tips' datasetdf = sns.load_dataset("tips")# Change the scatterplot to relplotsns.relplot(x="total_bill", y="tip", data=df, kind="scatter", size ="size", hue ="size")# Adjust layout and displayplt.show()
Figure 14: Total bill Vs Tip by Size.
Subgroups with point style
The next customization we’ll look at is the point style. Setting the "style" parameter to a variable name will use different point styles for each value of the variable. Here’s a scatter plot we’ve seen before, where we use "hue" to create different colored points based on smoking status. Setting "style" equal to "smoker" allows us to better distinguish these subgroups by plotting smokers with a different point style in addition to a different color.
Code
# Import librariesimport seaborn as snsimport matplotlib.pyplot as plt# Load the built-in 'tips' datasetdf = sns.load_dataset("tips")# Change the scatterplot to relplotsns.relplot(x="total_bill", y="tip", data=df, kind="scatter", size ="size", hue ="size",style ="smoker")# Adjust layout and displayplt.show()
Figure 15: Total bill Vs Tip by Size and Smoking Status.
Changing point transparency
The last customization we’ll look at is point transparency. Setting the "alpha" parameter to a value between 0 and 1 will vary the transparency of the points in the plot, with 0 being completely transparent and 1 being completely non-transparent. Here, we’ve set "alpha" equal to 0.4. This customization can be useful when you have many overlapping points on the scatter plot, so you can see which areas of the plot have more or less observations.
Code
# Import librariesimport seaborn as snsimport matplotlib.pyplot as plt# Load the built-in 'tips' datasetdf = sns.load_dataset("tips")# Change the scatterplot to relplotsns.relplot(x="total_bill", y="tip", data=df, kind="scatter", size ="size", hue ="size",style ="smoker", alpha =0.4)# Adjust layout and displayplt.show()
Figure 16: Total bill Vs Tip by Size and Smoking Status.
Exercise 2.2
Use relplot() and the mpg DataFrame to create a scatter plot with "horsepower" on the x-axis and "mpg" on the y-axis. Vary the size of the points by the number of cylinders in the car ("cylinders").
Code
# Import packagesimport matplotlib.pyplot as pltimport seaborn as snsimport pandas as pd# Import datasetmpg = pd.read_csv("datasets/mpg.csv")# Create scatter plot of horsepower vs. mpgsns.relplot(x="horsepower", y="mpg", data=mpg, kind="scatter", size="cylinders")# Show plotplt.show()
To make this plot easier to read, use hue to vary the color of the points by the number of cylinders in the car ("cylinders").
Code
# Import packagesimport matplotlib.pyplot as pltimport seaborn as snsimport pandas as pd# Import datasetmpg = pd.read_csv("datasets/mpg.csv")sns.relplot(x="horsepower", y="mpg", data=mpg, kind="scatter", size="cylinders", hue ="cylinders")# Show plotplt.show()
Use relplot() and the mpg DataFrame to create a scatter plot with "acceleration" on the x-axis and "mpg" on the y-axis. Vary the style and color of the plot points by country of origin ("origin").
Code
# Import packagesimport matplotlib.pyplot as pltimport seaborn as snsimport pandas as pd# Import datasetmpg = pd.read_csv("datasets/mpg.csv")sns.relplot(x="acceleration", y="mpg", data=mpg, kind="scatter", style="origin", hue ="origin")# Show plotplt.show()
Chapter 2.3: Introduction to line plots
Hello! In this lesson we’ll dive into a new type of relational plot: line plots.
What are line plots?
In Seaborn, we have two types of relational plots: scatter plots and line plots. While each point in a scatter plot is assumed to be an independent observation, line plots are the visualization of choice when we need to track the same thing over time. A common example is tracking the value of a company’s stock over time, as shown here.
Air pollution data
In this lesson, we’ll be using data on the levels of air pollution in a city. There are many air collection stations around the city, each measuring the nitrogen dioxide level every hour for a single day. Long-term exposure to high levels of nitrogen dioxide can cause chronic lung diseases. Let’s begin with the simple case where we have one data point per x-value. Here we have one row per hour over the course of the day with the average nitrogen dioxide level across all the stations in a column called "NO_2_mean".
Code
# Import librariesimport pandas as pdimport numpy as npimport seaborn as snsimport matplotlib.pyplot as plt# Set random seed for reproducibilitynp.random.seed(42)# Define parametershours = np.arange(0, 24)locations = ["North", "South", "East", "West"]stations = ["Station_A", "Station_B", "Station_C"]# Generate synthetic NO₂ data for each location and stationdata = []for loc in locations:for st in stations: base = np.random.normal(loc=40, scale=5, size=24)if loc =="South": base +=5# slightly higher NO₂ levels in the South data.extend([(h, loc, st, v) for h, v inzip(hours, base)])# Create DataFramedf = pd.DataFrame(data, columns=["hour", "location", "station", "NO_2_mean"])# Display first few rowsprint(df.head())
hour location station NO_2_mean
0 0 North Station_A 42.483571
1 1 North Station_A 39.308678
2 2 North Station_A 43.238443
3 3 North Station_A 47.615149
4 4 North Station_A 38.829233
Scatter plot
This is a scatter plot with the average nitrogen dioxide (NO₂) level on the y-axis and the hour of the day on the x-axis. Although scatter plots are useful for showing relationships between two variables, we’re tracking the same variable over time. Therefore, a line plot is a better choice for visualizing this pattern clearly.
Code
# Import librariesimport pandas as pdimport numpy as npimport seaborn as snsimport matplotlib.pyplot as plt# Set random seed for reproducibilitynp.random.seed(42)# Define parametershours = np.arange(0, 24)locations = ["North", "South", "East", "West"]stations = ["Station_A", "Station_B", "Station_C"]# Generate synthetic NO₂ data for each location and stationdata = []for loc in locations:for st in stations: base = np.random.normal(loc=40, scale=5, size=24)if loc =="South": base +=5# slightly higher NO₂ levels in the South data.extend([(h, loc, st, v) for h, v inzip(hours, base)])# Create DataFramedf = pd.DataFrame(data, columns=["hour", "location", "station", "NO_2_mean"])# Create scatter plot (less ideal for time-based data)sns.relplot(x="hour", y="NO_2_mean", data=df, kind ="scatter", color="steelblue")plt.show()
Figure 17: Average Nitrogen Dioxide (NO₂) Levels by Hour of the Day.
Line plot
By specifying "kind" equals "line", we can create a line plot and more easily see how the average nitrogen dioxide level fluctuates throughout the day.
Code
# Import librariesimport pandas as pdimport numpy as npimport seaborn as snsimport matplotlib.pyplot as plt# Set random seed for reproducibilitynp.random.seed(42)# Define parametershours = np.arange(0, 24)locations = ["North", "South", "East", "West"]stations = ["Station_A", "Station_B", "Station_C"]# Generate synthetic NO₂ data for each location and stationdata = []for loc in locations:for st in stations: base = np.random.normal(loc=40, scale=5, size=24)if loc =="South": base +=5# slightly higher NO₂ levels in the South data.extend([(h, loc, st, v) for h, v inzip(hours, base)])# Create DataFramedf = pd.DataFrame(data, columns=["hour", "location", "station", "NO_2_mean"])sns.relplot(x="hour", y="NO_2_mean", data=df, kind="line", color="firebrick")plt.show()
Figure 18: Average Nitrogen Dioxide (NO₂) Levels by Hour — Line Plot.
Subgroups by location
We can also track subgroups over time with line plots. Here we have the average nitrogen dioxide level for each region (North, South, East, and West) for each hour in the day. Setting the "style" and "hue" parameters equal to the variable name "location" creates different lines for each region that vary in both line style and color. Here, we can see that the South region tends to have slightly higher average nitrogen dioxide levels compared to the other regions.
Code
# Import librariesimport pandas as pdimport numpy as npimport seaborn as snsimport matplotlib.pyplot as plt# Set random seed for reproducibilitynp.random.seed(42)# Define parametershours = np.arange(0, 24)locations = ["North", "South", "East", "West"]stations = ["Station_A", "Station_B", "Station_C"]# Generate synthetic NO₂ data for each location and stationdata = []for loc in locations:for st in stations: base = np.random.normal(loc=40, scale=5, size=24)if loc =="South": base +=5# slightly higher NO₂ levels in the South data.extend([(h, loc, st, v) for h, v inzip(hours, base)])# Create DataFramedf = pd.DataFrame(data, columns=["hour", "location", "station", "NO_2_mean"])# Create line plot showing subgroup trends over timesns.relplot( x="hour", y="NO_2_mean", kind="line", hue="location", style="location", markers=True, dashes=False, data=df)# Add title and labelsplt.title("Average Nitrogen Dioxide (NO₂) Levels by Hour and Region", fontsize=13)plt.xlabel("Hour of the Day")plt.ylabel("NO₂ Mean (ppb)")# Show the plotplt.show()
Figure 19: Average Nitrogen Dioxide (NO₂) Levels by Hour and Region.
Adding markers
Setting the "markers" parameter equal to "True" will display a marker for each data point. The marker will vary based on the subgroup you’ve set using the "style" parameter.
Code
# Import librariesimport pandas as pdimport numpy as npimport seaborn as snsimport matplotlib.pyplot as plt# Set random seed for reproducibilitynp.random.seed(42)# Define parametershours = np.arange(0, 24)locations = ["North", "South", "East", "West"]stations = ["Station_A", "Station_B", "Station_C"]# Generate synthetic NO₂ data for each location and stationdata = []for loc in locations:for st in stations: base = np.random.normal(loc=40, scale=5, size=24)if loc =="South": base +=5# slightly higher NO₂ levels in the South data.extend([(h, loc, st, v) for h, v inzip(hours, base)])# Create DataFramedf = pd.DataFrame(data, columns=["hour", "location", "station", "NO_2_mean"])# Create line plot showing subgroup trends over timesns.relplot( x="hour", y="NO_2_mean", kind="line", hue="location", style="location", markers=True, # Add markers for each data point data=df)# Add title and axis labelsplt.title("Average Nitrogen Dioxide (NO₂) Levels by Hour and Region", fontsize=13)plt.xlabel("Hour of the Day")plt.ylabel("NO₂ Mean (ppb)")# Display the plotplt.show()
Figure 20: Average Nitrogen Dioxide (NO₂) Levels by Hour and Region.
Turning off line style
If you don’t want the line styles to vary by subgroup, set the "dashes" parameter equal to "False".
Code
# Import librariesimport pandas as pdimport numpy as npimport seaborn as snsimport matplotlib.pyplot as plt# Set random seed for reproducibilitynp.random.seed(42)# Define parametershours = np.arange(0, 24)locations = ["North", "South", "East", "West"]stations = ["Station_A", "Station_B", "Station_C"]# Generate synthetic NO₂ data for each location and stationdata = []for loc in locations:for st in stations: base = np.random.normal(loc=40, scale=5, size=24)if loc =="South": base +=5# slightly higher NO₂ levels in the South data.extend([(h, loc, st, v) for h, v inzip(hours, base)])# Create DataFramedf = pd.DataFrame(data, columns=["hour", "location", "station", "NO_2_mean"])# Create line plot showing subgroup trends over timesns.relplot( x="hour", y="NO_2_mean", kind="line", hue="location", style="location", markers=True, # Add markers for each data point dashes=False, # Disable dashed lines for clarity data=df)# Add title and axis labelsplt.title("Average Nitrogen Dioxide (NO₂) Levels by Hour and Region", fontsize=13)plt.xlabel("Hour of the Day")plt.ylabel("NO₂ Mean (ppb)")# Display the plotplt.show()
Figure 21: Average Nitrogen Dioxide (NO₂) Levels by Hour and Region.
Multiple observations per x-value
Line plots can also be used when you have more than one observation per x-value. This dataset has a row for each station that is taking a measurement every hour. This is the scatter plot, displaying one point per observation. This is the line plot. If a line plot is given multiple observations per x-value, it will aggregate them into a single summary measure. By default, it will display the mean. Notice that Seaborn will automatically calculate a confidence interval for the mean, displayed by the shaded region. Assuming the air collection stations were randomly placed throughout the city, this dataset is a random sample of the nitrogen dioxide levels across the whole city. This confidence interval tells us that based on our sample, we can be 95% confident that the average nitrogen dioxide level for the whole city is within this range. Confidence intervals indicate the uncertainty we have about what the true mean is for the whole city. To learn more about confidence intervals, you can check out DataCamp’s statistics courses.
Replacing confidence interval with standard deviation
Instead of visualizing a confidence interval, we may want to see how varied the measurements of nitrogen dioxide are across the different collection stations at a given point in time. To visualize this, set the "ci" parameter equal to the string "sd" to make the shaded area represent the standard deviation, which shows the spread of the distribution of observations at each x value.
Code
# Import librariesimport pandas as pdimport numpy as npimport seaborn as snsimport matplotlib.pyplot as plt# Set random seed for reproducibilitynp.random.seed(42)# Define parametershours = np.arange(0, 24)locations = ["North", "South", "East", "West"]stations = ["Station_A", "Station_B", "Station_C"]# Generate synthetic NO₂ data for each location and stationdata = []for loc in locations:for st in stations: base = np.random.normal(loc=40, scale=5, size=24)if loc =="South": base +=5# slightly higher NO₂ levels in the South data.extend([(h, loc, st, v) for h, v inzip(hours, base)])# Create DataFramedf = pd.DataFrame(data, columns=["hour", "location", "station", "NO_2_mean"])# Create line plot showing subgroup trends over timesns.relplot( x="hour", y="NO_2_mean", kind="line", hue="location", style="location", markers=True, # Add markers for each data point dashes=False, # Disable dashed lines for clarity data=df, ci ="sd")# Add title and axis labelsplt.title("Average Nitrogen Dioxide (NO₂) Levels by Hour and Region", fontsize=13)plt.xlabel("Hour of the Day")plt.ylabel("NO₂ Mean (ppb)")# Display the plotplt.show()
Figure 22: Average Nitrogen Dioxide (NO₂) Levels by Hour and Region.
Turning off confidence interval
We can also turn off the confidence interval by setting the “ci” parameter equal to "None" for old version of seaborn, but "errorbar" parameter to None, with newer versions of seaborn.
Code
# Import librariesimport pandas as pdimport numpy as npimport seaborn as snsimport matplotlib.pyplot as plt# Set random seed for reproducibilitynp.random.seed(42)# Define parametershours = np.arange(0, 24)locations = ["North", "South", "East", "West"]stations = ["Station_A", "Station_B", "Station_C"]# Generate synthetic NO₂ data for each location and stationdata = []for loc in locations:for st in stations: base = np.random.normal(loc=40, scale=5, size=24)if loc =="South": base +=5# slightly higher NO₂ levels in the South data.extend([(h, loc, st, v) for h, v inzip(hours, base)])# Create DataFramedf = pd.DataFrame(data, columns=["hour", "location", "station", "NO_2_mean"])# Create line plot showing subgroup trends over timesns.relplot( x="hour", y="NO_2_mean", kind="line", hue="location", style="location", markers=True, # Add markers for each data point dashes=False, # Disable dashed lines for clarity data=df, errorbar=None)# Add title and axis labelsplt.title("Average Nitrogen Dioxide (NO₂) Levels by Hour and Region", fontsize=13)plt.xlabel("Hour of the Day")plt.ylabel("NO₂ Mean (ppb)")# Display the plotplt.show()
Figure 23: Average Nitrogen Dioxide (NO₂) Levels by Hour and Region.
Exercise 2.3
Use relplot() and the mpg DataFrame to create a line plot with "model_year" on the x-axis and "mpg" on the y-axis.
Code
# Import Matplotlib and Seabornimport matplotlib.pyplot as pltimport seaborn as snsimport pandas as pd# Import datasetmpg = pd.read_csv("datasets/mpg.csv")# Create line plotsns.relplot(x="model_year", y="mpg", data=mpg, kind="line")# Show plotplt.show()
Change the plot so the shaded area shows the standard deviation instead of the confidence interval for the mean.
Code
# Import Matplotlib and Seabornimport matplotlib.pyplot as pltimport seaborn as snsimport pandas as pd# Import datasetmpg = pd.read_csv("datasets/mpg.csv")sns.relplot(x="model_year", y="mpg", data=mpg, kind="line", ci="sd")# Show plotplt.show()
Use relplot() and the mpg DataFrame to create a line plot with "model_year" on the x-axis and "horsepower" on the y-axis. Turn off the confidence intervals on the plot.
Code
# Import Matplotlib and Seabornimport matplotlib.pyplot as pltimport seaborn as snsimport pandas as pd# Import datasetmpg = pd.read_csv("datasets/mpg.csv")sns.relplot(x="model_year", y="horsepower", data=mpg, kind="line", errorbar=None)# Show plotplt.show()
Create different lines for each country of origin ("origin") that vary in both line style and color.
Code
# Import Matplotlib and Seabornimport matplotlib.pyplot as pltimport seaborn as snsimport pandas as pd# Import datasetmpg = pd.read_csv("datasets/mpg.csv")sns.relplot(x="model_year", y="horsepower", data=mpg, kind="line", errorbar=None, style="origin", hue="origin")# Show plotplt.show()
Add markers for each data point to the lines.
Use the dashes parameter to use solid lines for all countries, while still allowing for different marker styles for each line.
Code
# Import Matplotlib and Seabornimport matplotlib.pyplot as pltimport seaborn as snsimport pandas as pd# Import datasetmpg = pd.read_csv("datasets/mpg.csv")sns.relplot(x="model_year", y="horsepower", data=mpg, kind="line", errorbar=None, style="origin", hue="origin", markers=True, dashes=False)# Show plotplt.show()
Chapter 3: Count plots and bar plots
Welcome to Chapter 3! In this chapter, we’ll focus on visualizations that involve categorical variables. The first two plots we’ll look at are count plots and bar plots.
Categorical plots
Count plots and bar plots are two types of visualizations that Seaborn calls “categorical plots”. Categorical plots involve a categorical variable, which is a variable that consists of a fixed, typically small number of possible values, or categories. These types of plots are commonly used when we want to make comparisons between different groups. We began to explore categorical plots in Chapter 1 with count plots. As a reminder, a count plot displays the number of observations in each category. We saw several examples of count plots in earlier chapters, Section 1, Section 1.3, like the number of men reporting that they feel masculine. Most men surveyed here feel"somewhat" or "very" masculine.
catplot()
Just like we used "relplot()" to create different types of relational plots, in this chapter we’ll be using "catplot()" to create different types of categorical plots. "catplot()" offers the same flexibility that "relplot()" does, which means it will be easy to create subplots if we need to using the same "col" and "row" parameters.
countplot() vs. catplot()
To see how "catplot()" works, let’s return to the masculinity count plot. On the left, we see how we originally created a count plot with the "countplot()" function.
countplot() vs. catplot()
To make this plot with "catplot()" instead, we change the function name to "catplot()" and use the "kind" parameter to specify what kind of categorical plot to use. In this case, we’ll set kind equal to the word "count".
Figure 24: Count of Masculinity Responses Using catplot().
Changing the order
Sometimes there is a specific ordering of categories that makes sense for these plots. In this case, it makes more sense for the categories to be in order from not masculine to very masculine. To change the order of the categories, create a list of category values in the order that you want them to appear, and then use the "order" parameter. This works for all types of categorical plots, not just count plots.
Code
# Import librariesimport seaborn as snsimport matplotlib.pyplot as pltmasculinity = {'participant_id': list(range(1, 21)),'age': [35, 42, 29, 51, 37, 30, 45, 55, 25, 33, 40, 48, 28, 39, 47, 53, 26, 34, 43, 50],'how_masculine': ['very', 'somewhat', 'very', 'not at all', 'somewhat', 'very', 'somewhat', 'very', 'not at all', 'somewhat', 'very', 'somewhat', 'very', 'not at all', 'somewhat', 'very', 'somewhat', 'very', 'not at all', 'somewhat'],'how_important': ['very', 'somewhat', 'not very', 'somewhat', 'very', 'very', 'somewhat', 'not very', 'somewhat', 'very', 'very', 'somewhat', 'not very', 'somewhat', 'very', 'very', 'somewhat', 'not very', 'somewhat', 'very']}# Create the DataFramedf = pd.DataFrame(masculinity)# Define custom order for the categoriesmasculine_order = ["not at all", "somewhat", "very"]# Create ordered count plotsns.catplot(x="how_masculine",data=df,kind="count",order=masculine_order # specify the category order)plt.show()
Figure 25: Count of Masculinity Responses Ordered from ‘Not at All’ to ‘Very’.
Bar plots
Bar plots look similar to count plots, but instead of the count of observations in each category, they show the mean of a quantitative variable among observations in each category. This bar plot uses the tips dataset and shows the average bill paid among people who visited the restaurant on each day of the week. From this, we can see that the average bill is slightly higher on the weekends. To create this bar plot, we use "catplot". Specify the categorical variable "day" on the x-axis, the quantitative variable "total bill" on the y-axis, and set the "kind" parameter equal to "bar".
Code
# Import librariesimport seaborn as snsimport matplotlib.pyplot as plt# Load Seaborn's 'tips' datasettips = sns.load_dataset("tips")# Create bar plot using catplotsns.catplot(x="day",y="total_bill",data=tips,kind="bar", # specify bar plotpalette="pastel")plt.show()
Figure 26: Average Total Bill by Day of Week (Tips Dataset).
Confidence intervals
Notice also that Seaborn automatically shows 95% confidence intervals for these means. Just like with line plots, these confidence intervals show us the level of uncertainty we have about these estimates. Assuming our data is a random sample of some population, we can be 95% sure that the true population mean in each group lies within the confidence interval shown.
Turning off confidence intervals
If we want to turn off these confidence intervals, we can do this by setting the "errorbar" parameter equal to "None" - just like we did with line plots.
Code
# Import librariesimport seaborn as snsimport matplotlib.pyplot as plt# Load Seaborn's 'tips' datasettips = sns.load_dataset("tips")# Create bar plot using catplotsns.catplot(x="day",y="total_bill",data=tips,kind="bar", # specify bar ploterrorbar =None)plt.show()
Figure 27: Average Total Bill by Day of Week (Tips Dataset).
Changing the orientation
Finally, you can also change the orientation of the bars in bar plots and count plots by switching the x and y parameters. However, it is fairly common practice to put the categorical variable on the x-axis.
Code
# Import librariesimport seaborn as snsimport matplotlib.pyplot as plt# Load Seaborn's 'tips' datasettips = sns.load_dataset("tips")# Create bar plot using catplotsns.catplot(x="total_bill",y="day",data=tips,kind="bar", # specify bar ploterrorbar =None)plt.show()
Figure 28: Average Total Bill by Day of Week (Tips Dataset).
Exercise 3.1
Use sns.catplot() to create a count plot using the survey_data DataFrame with "Internet usage" on the x-axis.
Code
# Import packagesimport matplotlib.pyplot as pltimport seaborn as snsimport pandas as pd# Import datasetsurvey_data = pd.read_csv('datasets/young-people-survey-responses.csv')sns.catplot(x="Internet usage", data=survey_data, kind="count")# Show plotplt.show()
Make the bars horizontal instead of vertical.
Code
# Import packagesimport matplotlib.pyplot as pltimport seaborn as snsimport pandas as pd# Import datasetsurvey_data = pd.read_csv('datasets/young-people-survey-responses.csv')sns.catplot(y="Internet usage", data=survey_data, kind="count")# Show plotplt.show()
Separate this plot into two side-by-side column subplots based on "Age Category", which separates respondents into those that are younger than 21 vs. 21 and older.
Code
# Import packagesimport matplotlib.pyplot as pltimport seaborn as snsimport pandas as pd# Import datasetsurvey_data = pd.read_csv('datasets/young-people-survey-responses.csv')# Create Age Category groupsbins = [10, 18, 25, 35, 50, 70]labels = ["Teen", "18–25", "26–35", "36–50", "50+"]survey_data["Age Category"] = pd.cut(survey_data["Age"], bins=bins, labels=labels, right=False)sns.catplot( x="Internet usage", data=survey_data, kind="count", col="Age Category")# Show plotplt.show()
Bar plots with percentages. Use the survey_data DataFrame and sns.catplot() to create a bar plot with "Gender" on the x-axis and "Mathematics" on the y-axis, which signifies, students with interest in mathematics.
Code
# Import packagesimport matplotlib.pyplot as pltimport seaborn as snsimport pandas as pd# Import datasetsurvey_data = pd.read_csv('datasets/young-people-survey-responses.csv')sns.catplot(x="Gender", y="Mathematics", data=survey_data, kind="bar")# Show plotplt.show()
Use sns.catplot() to create a bar plot with "study_time" on the x-axis and final grade ("G3") on the y-axis, using the student_data DataFrame.
Code
# Import packagesimport matplotlib.pyplot as pltimport seaborn as snsimport pandas as pd# Import datasetstudent_data = pd.read_csv('datasets/student-alcohol-consumption.csv')sns.catplot(x="study_time", y="G3", data=student_data, kind="bar")# Show plotplt.show()
Using the order parameter and the category_order list that is provided, rearrange the bars so that they are in order from lowest study time to highest.
Code
# Import packagesimport matplotlib.pyplot as pltimport seaborn as snsimport pandas as pd# Import datasetstudent_data = pd.read_csv('datasets/student-alcohol-consumption.csv')category_order = ["<2 hours", "2 to 5 hours", "5 to 10 hours", ">10 hours"]# Rearrange the categoriessns.catplot(x="study_time", y="G3", data=student_data, kind="bar", order=category_order)# Show plotplt.show()
Update the plot so that it no longer displays confidence intervals.
Code
# Import packagesimport matplotlib.pyplot as pltimport seaborn as snsimport pandas as pd# Import datasetstudent_data = pd.read_csv('datasets/student-alcohol-consumption.csv')sns.catplot(x="study_time", y="G3", data=student_data, kind="bar", order=category_order, errorbar=None)# Show plotplt.show()
Chapter 4: Creating a box plot
Hello! In this chapter we’ll learn how to create a new type of categorical plot: the box plot.
What is a box plot?
A box plot shows the distribution of quantitative data. The colored box represents the 25th to 75th percentile (interquartile range), and the line inside the box shows the median. The whiskers extend to give a sense of the overall spread, while dots beyond the whiskers represent outliers. Box plots are powerful for comparing distributions of a quantitative variable across different categories. In this example, the box plot uses the tips dataset to compare the distribution of total bill amounts across the days of the week. From this visualization, we can quickly see that the median total bill is higher on Saturday and Sunday, but the spread of the distribution is also wider — something that’s harder to see with simpler plot types.
Code
# Load Seaborn's 'tips' datasettips = sns.load_dataset("tips")# Create a box plot using catplotsns.catplot( x="day", y="total_bill", data=tips, kind="box", palette="pastel")plt.show()
Figure 29: Distribution of Total Bill Amounts by Day (Tips Dataset).
How to create a box plot
Now let’s look at how to create a box plot in Seaborn. While Seaborn does have a "boxplot()" function, we’ll be using the "catplot()" function that we introduced in an earlier lesson because it makes it easy to create subplots using the "col" and "row" parameters. We’ll put the categorical variable "time" on the x-axis and the quantitative variable "total bill" on the y-axis. Here, we want box plots, so we’ll specify kind="box". That’s it! We have a nice looking box plot. Next, we’ll look at different ways to customize this plot.
Code
# Load Seaborn's 'tips' datasettips = sns.load_dataset("tips")# Create a box plot using catplotsns.catplot( x="time", y="total_bill", data=tips, kind="box")plt.show()
Figure 30: Distribution of Total Bill Amounts by Time (Tips Dataset).
Change the order of categories
As a reminder, "catplot" allows you to change the order of the categories using the "order" parameter. Here, we specified that "dinner" should be shown before “lunch”.
Code
# Load Seaborn's 'tips' datasettips = sns.load_dataset("tips")# Create a box plot using catplotsns.catplot( x="time", y="total_bill", data=tips, kind="box", order = ["Dinner", "Lunch"])plt.show()
Figure 31: Distribution of Total Bill Amounts by Time Order By Time (Tips Dataset).
Omitting the outliers using sym
Occasionally, you may want to omit the outliers from your box plot. You can do this using the "sym" parameter. If you pass an empty string into "sym", it will omit the outliers from your plot altogether. "Sym" can also be used to change the appearance of the outliers instead of omitting them.
Fixing the TypeError in Seaborn Box Plot
The error occurs because the sym argument — which controls outlier symbols — is not supported in sns.catplot(kind="box") in recent versions of Seaborn.
The sym parameter only works with sns.boxplot(), not with the higher-level catplot().
In addition, In older versions of Seaborn (< 0.12), you could write:
sns.boxplot(..., sym="")
to hide outlier points (“fliers”).
However, starting from Seaborn 0.12+, the library underwent a full internal refactor (to unify plotting with the new object-oriented API). ➡️ As a result, the sym parameter was removed and replaced with fliersize.
Code
import seaborn as snsimport matplotlib.pyplot as plt# Load Seaborn's 'tips' datasettips = sns.load_dataset("tips")# Correct usage: replace 'sym' with 'fliersize=0'sns.boxplot( x="time", y="total_bill", data=tips, order=["Dinner", "Lunch"], fliersize=0# hides outlier markers)plt.show()
Figure 32: Box plot of total bill by meal time (outliers hidden).
If you want to hide outlier points in a catplot(), use the fliersize=0 argument instead.
✅ Corrected Code:
Code
import seaborn as snsimport matplotlib.pyplot as plt# Load datasettips = sns.load_dataset("tips")# Correct approach: use fliersize=0 to hide outliers in catplotsns.catplot( x="time", y="total_bill", data=tips, kind="box", order=["Dinner", "Lunch"], fliersize=0# hides outlier markers)plt.title("Box Plot of Total Bill by Meal Time")plt.show()
Figure 33: Box plot of total bill by meal time (outliers hidden).
Code
# Load Seaborn's 'tips' datasettips = sns.load_dataset("tips")# Create a box plot using catplotsns.catplot( x="time", y="total_bill", data=tips, kind="box", order = ["Dinner", "Lunch"], fliersize=0)plt.show()
Figure 34: Distribution of Total Bill Amounts by Time Order By Time (Tips Dataset).
Changing the whiskers using whis
By default, the whiskers extend to 1.5 times the interquartile range, or "IQR". The IQR is the 25th to the 75th percentile of a distribution of data. If you want to change the way the whiskers in your box plot are defined, you can do this using the "whis" parameter. There are several options for changing the whiskers. You can change the range of the whiskers from 1.5 times the IQR (which is the default) to 2 times the IQR by setting "whis" equal to 2.0. Alternatively, you can have the whiskers define specific lower and upper percentiles by passing in a list of the lower and upper values. In this example, passing in "[5, 95]" will result in the lower whisker being drawn at the 5th percentile and the upper whisker being drawn at the 95th percentile. Finally, you may just want to draw the whiskers at the min and max values. You can do this by specifying the lower percentile as 0 and the upper percentile as 100.
Option 1: Whiskers at 2.0 × IQR
Code
# Load Seaborn's 'tips' datasettips = sns.load_dataset("tips")# Create a box plot using catplot, with whiskers at 2.0 x IQRsns.catplot( x="time", y="total_bill", data=tips, kind="box", order=["Dinner", "Lunch"], whis=2.0)plt.show()
Figure 35: Distribution of Total Bill Amounts by Time Order By Time with whiskers at 2.0 x IQR.
Option 2: Whiskers at 5th and 95th Percentiles
Code
# Load Seaborn's 'tips' datasettips = sns.load_dataset("tips")# Create a box plot using catplot, with whiskers at 5th and 95th Percentilessns.catplot( x="time", y="total_bill", data=tips, kind="box", order=["Dinner", "Lunch"], whis=[5, 95])plt.show()
Figure 36: Distribution of Total Bill Amounts by Time Order By Time with Whiskers at 5th and 95th Percentiles.
Changing the whiskers using whis
Here’s an example where the whiskers are set to the min and max values. Note that there are no outliers, because the box and whiskers cover the entire range of the data.
Code
# Load Seaborn's 'tips' datasettips = sns.load_dataset("tips")# Create a box plot using catplot, with whiskers at Min and Max (0th and 100th Percentiles)sns.catplot( x="time", y="total_bill", data=tips, kind="box", order=["Dinner", "Lunch"], whis=[0, 100])plt.show()
Figure 37: Distribution of Total Bill Amounts by Time Order By Time with Whiskers at Min and Max (0th and 100th Percentiles).
Exercise 4
Use sns.catplot() to create a box plot with the student_data DataFrame, putting "study_time" on the x-axis and "G3" on the y-axis.. Specify the category ordering, using this template, study_time_order = ["<2 hours", "2 to 5 hours", "5 to 10 hours", ">10 hours"].
Code
# Import packagesimport matplotlib.pyplot as pltimport seaborn as snsimport pandas as pd# Import datasetstudent_data = pd.read_csv('datasets/student-alcohol-consumption.csv')# Specify the category orderingstudy_time_order = ["<2 hours", "2 to 5 hours", "5 to 10 hours", ">10 hours"]# Create a box plot and set the order of the categoriessns.catplot(x="study_time", y="G3", data=student_data, kind="box", order=study_time_order)# Show plotplt.show()
Use sns.catplot() to create a box plot with the student_data DataFrame, putting "internet" on the x-axis and "G3" on the y-axis. Add subgroups so each box plot is colored based on "location". Do not display the outliers.
Code
# Import packagesimport matplotlib.pyplot as pltimport seaborn as snsimport pandas as pd# Import datasetstudent_data = pd.read_csv('datasets/student-alcohol-consumption.csv')# SOLUTIONsns.catplot(x="internet", y="G3", data=student_data, kind="box", hue="location", fliersize=0)# Show plotplt.show()
Use sns.catplot() to create a box plot with the student_data DataFrame, putting "romantic" on the x-axis and "G3" on the y-axis. Adjust the code to make the box plot whiskers to extend to 0.5 * IQR. Recall: the IQR is the interquartile range.
Code
# Import packagesimport matplotlib.pyplot as pltimport seaborn as snsimport pandas as pd# Import datasetstudent_data = pd.read_csv('datasets/student-alcohol-consumption.csv')# Change the code to set the whiskers to extend to the 5th and 95th percentiles.sns.catplot(x="romantic", y="G3", data=student_data, kind="box", whis=[5, 95])# Show plotplt.show()
Change the code to set the whiskers to extend to the min and max values.
Code
# Import packagesimport matplotlib.pyplot as pltimport seaborn as snsimport pandas as pd# Import datasetstudent_data = pd.read_csv('datasets/student-alcohol-consumption.csv')# Change the code to set the whiskers to extend to the min and max values.sns.catplot(x="romantic", y="G3", data=student_data, kind="box", whis=[0, 100])# Show plotplt.show()
Chapter 4.1: Point plots
Welcome! So far we’ve seen several types of categorical plots including count plots, bar plots, and box plots. In this lesson, we’ll see one final categorical plot: point plots.
What are point plots?
Point plots show the mean of a quantitative variable for the observations in each category, displayed as a single point. This point plot uses the tips dataset and compares the average total bill between smokers and non-smokers. The vertical bars extending above and below each point represent the 95% confidence intervals for the mean. Just like the confidence intervals we saw in line plots and bar plots, they show the uncertainty in our mean estimates. Assuming the data is a random sample from a larger population, we can be 95% confident that the true population mean for each group lies within the interval shown.
Code
# Load Seaborn's 'tips' datasettips = sns.load_dataset("tips")# Create point plot using catplotsns.catplot( x="smoker", y="total_bill", data=tips, kind="point")plt.show()
Figure 38: Average Total Bill by Smoking Status (Tips Dataset).
Point plots vs. line plots
You may be thinking: point plots look a lot like line plots. What’s the difference? Both line plots and point plots show the mean of a quantitative variable and 95% confidence intervals for the mean. However, there is a key difference. Line plots are relational plots, so both the x- and y-axis are quantitative variables. In a point plot, one axis - usually the x-axis - is a categorical variable, making it a categorical plot.
Point plots vs. bar plots
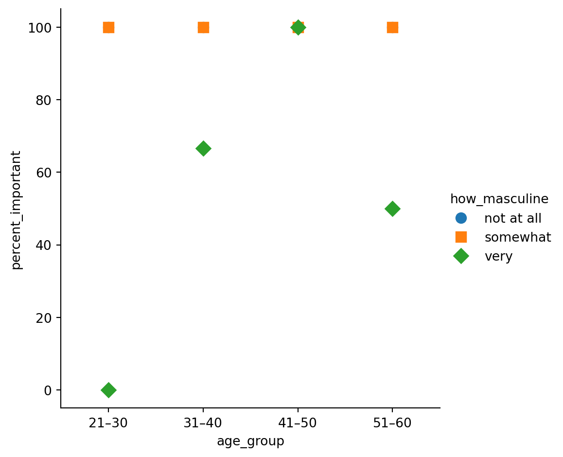
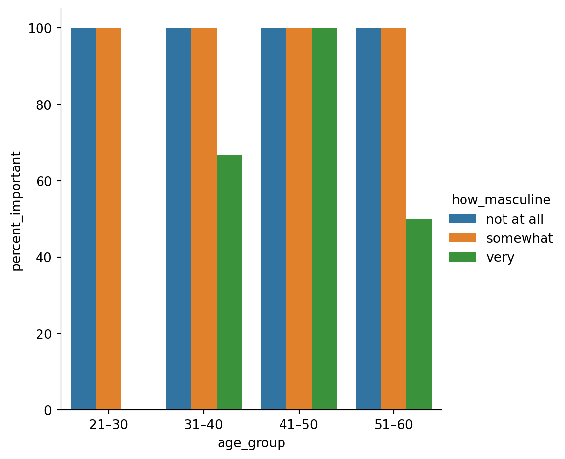
You may also be thinking: point plots seem to show the same information as bar plots. For each category, both show the mean of a quantitative variable and the confidence intervals for those means. When should we use one over the other? Let’s look at an example using data from the masculinity survey that we’ve seen in prior lessons Section 1.3.2 and Figure 25.
This bar plot shows the percent of men per age group who report thinking that it’s important that others see them as masculine, with subgroups based on whether they report feeling masculine or not.
The point plot below displays the same data in a different form. In the point plot, it’s easier to compare the heights of subgroup points when they’re stacked above each other and to see differences in slope between categories — a clearer way to observe how perceptions change across age groups.
Code
import pandas as pdimport seaborn as snsimport matplotlib.pyplot as plt# Original datamasculinity = {'participant_id': list(range(1, 21)),'age': [35, 42, 29, 51, 37, 30, 45, 55, 25, 33, 40, 48, 28, 39, 47, 53, 26, 34, 43, 50],'how_masculine': ['very', 'somewhat', 'very', 'not at all', 'somewhat', 'very', 'somewhat', 'very','not at all', 'somewhat', 'very', 'somewhat', 'very', 'not at all', 'somewhat','very', 'somewhat', 'very', 'not at all', 'somewhat'],'how_important': ['very', 'somewhat', 'not very', 'somewhat', 'very', 'very', 'somewhat', 'not very','somewhat', 'very', 'very', 'somewhat', 'not very', 'somewhat', 'very', 'very','somewhat', 'not very', 'somewhat', 'very']}df = pd.DataFrame(masculinity)# Create age groupsbins = [20, 30, 40, 50, 60]labels = ['21–30', '31–40', '41–50', '51–60']df['age_group'] = pd.cut(df['age'], bins=bins, labels=labels, right=False)# Compute % of "very" or "somewhat" important by age group & masculinitydf['important_binary'] = df['how_important'].isin(['very', 'somewhat']).astype(int)summary = ( df.groupby(['age_group', 'how_masculine'])['important_binary'] .mean() .reset_index(name='percent_important'))summary['percent_important'] *=100# --- BAR PLOT ---sns.catplot( x="age_group", y="percent_important", hue="how_masculine", data=summary, kind="bar")plt.show()# --- POINT PLOT ---sns.catplot( x="age_group", y="percent_important", hue="how_masculine", data=summary, kind="point", markers=["o", "s", "D"])plt.show()
(a) Importance of Being Seen as Masculine by Age Group and Self-Perception.
(b)
Figure 39
Creating a point plot
Here’s the code to create the point plot we just saw. Since this is a categorical plot, we use "catplot" and set "kind" equal to "point". Refer to this code chunk Figure 39.
Disconnecting the points
Sometimes we may want to remove the lines connecting each point, perhaps because we only wish to compare within a category group and not between them. To do this, set the "join" parameter equal to False.
Code
# Import librariesimport matplotlib.pyplot as pltimport seaborn as snsimport pandas as pd# Data provided by the user, extended to 20 rowsmasculinity = {'participant_id': list(range(1, 21)),'age': [35, 42, 29, 51, 37, 30, 45, 55, 25, 33, 40, 48, 28, 39, 47, 53, 26, 34, 43, 50],'how_masculine': ['very', 'somewhat', 'very', 'not at all', 'somewhat', 'very', 'somewhat', 'very', 'not at all', 'somewhat', 'very', 'somewhat', 'very', 'not at all', 'somewhat', 'very', 'somewhat', 'very', 'not at all', 'somewhat'],'how_important': ['very', 'somewhat', 'not very', 'somewhat', 'very', 'very', 'somewhat', 'not very', 'somewhat', 'very', 'very', 'somewhat', 'not very', 'somewhat', 'very', 'very', 'somewhat', 'not very', 'somewhat', 'very']}# Create the DataFramedf = pd.DataFrame(masculinity)# Create age groupsbins = [20, 30, 40, 50, 60]labels = ['21–30', '31–40', '41–50', '51–60']df['age_group'] = pd.cut(df['age'], bins=bins, labels=labels, right=False)# --- POINT PLOT ---sns.catplot( x="age_group", y="percent_important", hue="how_masculine", data=summary, kind="point", markers=["o", "s", "D"], join =False)plt.show()
Figure 40: Importance of Being Seen as Masculine by Age Group and Self-Perception — Point Plot.
Displaying the median
Let’s return to the point plot using the tips dataset and go over a few more ways to customize your point plots.
Here is the point plot of average bill comparing smokers to non-smokers.
To have the points and confidence intervals be calculated for the median instead of the mean, we import the median function from the NumPy library and set the "estimator" parameter equal to the NumPy median function.
Why might you want to use the median instead of the mean?
The median is more robust to outliers, so if your dataset contains extreme values, the median can provide a better measure of the typical observation.
Code
# Import librariesimport seaborn as snsimport matplotlib.pyplot as pltimport numpy as np# Load the built-in 'tips' datasettips = sns.load_dataset("tips")# Create a point plot using catplot with median as the estimatorsns.catplot(data=tips,x="smoker",y="total_bill",kind="point",estimator=np.median # Use median instead of mean)# Show the plotplt.show()
Figure 41: Median total bill by smoking status (tips dataset) using catplot.
Customizing the confidence intervals
You can also customize the way that the confidence intervals are displayed. To add “caps” to the end of the confidence intervals, set the “capsize” parameter equal to the desired width of the caps. In this case, we chose a width of 0.2.
Code
# Import librariesimport seaborn as snsimport matplotlib.pyplot as pltimport numpy as np# Load the built-in 'tips' datasettips = sns.load_dataset("tips")# Create a point plot using catplot with median as the estimatorsns.catplot(data=tips,x="smoker",y="total_bill",kind="point",estimator=np.median, # Use median instead of meancapsize=0.2# Add small caps to error bars)# Add a main titleplt.suptitle("Median Total Bill by Smoking Status", y=1.02, fontsize=13)# Show the plotplt.show()
Figure 42: Median total bill by smoking status (tips dataset) using catplot.
Turning off confidence intervals
Finally, like we saw with line plots and bar plots, you can turn the confidence intervals off by setting the “errorbar” parameter equal to None.
Code
# Import librariesimport seaborn as snsimport matplotlib.pyplot as pltimport numpy as np# Load the built-in 'tips' datasettips = sns.load_dataset("tips")# Create a point plot using catplot with median as the estimatorsns.catplot(data=tips,x="smoker",y="total_bill",kind="point",estimator=np.median, # Use median instead of meancapsize=0.1, # Add small caps to error barserrorbar=None)# Add a main titleplt.suptitle("Median Total Bill by Smoking Status", y=1.02, fontsize=13)# Show the plotplt.show()
Figure 43: Median total bill by smoking status (tips dataset) using catplot.
Exercise 4.1
Use sns.catplot() and the student_data DataFrame to create a point plot with "famrel" on the x-axis and number of absences ("absences") on the y-axis.
Code
# Import packagesimport matplotlib.pyplot as pltimport seaborn as snsimport pandas as pd# Import datasetstudent_data = pd.read_csv('datasets/student-alcohol-consumption.csv')sns.catplot(x="famrel", y="absences", data=student_data, kind="point")# Show plotplt.show()
Add "caps" to the end of the confidence intervals with size 0.2.
Code
# Import packagesimport matplotlib.pyplot as pltimport seaborn as snsimport pandas as pd# Import datasetstudent_data = pd.read_csv('datasets/student-alcohol-consumption.csv')sns.catplot(x="famrel", y="absences", data=student_data, kind="point", capsize=0.2)# Show plotplt.show()
Remove the lines joining the points in each category.
Code
# Import packagesimport matplotlib.pyplot as pltimport seaborn as snsimport pandas as pd# Import datasetstudent_data = pd.read_csv('datasets/student-alcohol-consumption.csv')sns.catplot(x="famrel", y="absences", data=student_data, kind="point", capsize=0.2, join=False)# Show plotplt.show()
Use sns.catplot() and the student_data DataFrame to create a point plot with relationship status ("romantic") on the x-axis and number of absences ("absences") on the y-axis. Color the points based on the school that they attend ("school").
Code
# Import packagesimport matplotlib.pyplot as pltimport seaborn as snsimport pandas as pd# Import datasetstudent_data = pd.read_csv('datasets/student-alcohol-consumption.csv')sns.catplot(x="romantic", y="absences", data=student_data, kind="point", hue="school")# Show plotplt.show()
Since there may be outliers of students with many absences, use the median function that we’ve imported from numpy to display the median number of absences instead of the average.
Code
# Import packagesimport matplotlib.pyplot as pltimport seaborn as snsimport pandas as pd# Import datasetstudent_data = pd.read_csv('datasets/student-alcohol-consumption.csv')# Import median function from numpyfrom numpy import median# Plot the median number of absences instead of the meansns.catplot(x="romantic", y="absences", data=student_data, kind="point", hue="school", errorbar=None, estimator=median)# Show plotplt.show()
Chapter 5: Changing plot style and color
So far we’ve covered how to create a variety of different plot types. Now let’s learn how to customize them.
Why customize?
By default, Seaborn plots are pleasing to look at, but there are several reasons you may want to change the appearance. Changing the style of a plot can be motivated by personal preference, but it can also help improve its readability or help orient an audience more quickly to the key takeaway.
Changing the figure style
Seaborn has five preset figure styles which change the background and axes of the plot. You can refer to them by name: "white“, ”dark“, "whitegrid", "darkgrid", and "ticks". To set one of these as the global style for all of your plots, use the "set style" function.
Default figure style (“white”)
This is a plot, Figure 39, we’ve seen before, showing the percentage of men reporting that masculinity was important to them, stratified by their age and whether or not they feel masculine. The default style is called “white” and provides clean axes with a solid white background. If we only care about the comparisons between groups or the general trend across age groups instead of the specific values, this is a good choice.
Figure style: “whitegrid”
Changing the style to "whitegrid" will add a gray grid in the background. This is useful if you want your audience to be able to determine the specific values of the plotted points instead of making higher level observations.
Code
import pandas as pdimport seaborn as snsimport matplotlib.pyplot as plt# Set the style to "whitegrid"sns.set_style("whitegrid")# Original datamasculinity = {'participant_id': list(range(1, 21)),'age': [35, 42, 29, 51, 37, 30, 45, 55, 25, 33, 40, 48, 28, 39, 47, 53, 26, 34, 43, 50],'how_masculine': ['very', 'somewhat', 'very', 'not at all', 'somewhat', 'very', 'somewhat', 'very','not at all', 'somewhat', 'very', 'somewhat', 'very', 'not at all', 'somewhat','very', 'somewhat', 'very', 'not at all', 'somewhat'],'how_important': ['very', 'somewhat', 'not very', 'somewhat', 'very', 'very', 'somewhat', 'not very','somewhat', 'very', 'very', 'somewhat', 'not very', 'somewhat', 'very', 'very','somewhat', 'not very', 'somewhat', 'very']}# Create age groupsbins = [20, 30, 40, 50, 60]labels = ['21–30', '31–40', '41–50', '51–60']df['age_group'] = pd.cut(df['age'], bins=bins, labels=labels, right=False)# Compute % of "very" or "somewhat" important by age group & masculinitydf['important_binary'] = df['how_important'].isin(['very', 'somewhat']).astype(int)summary = ( df.groupby(['age_group', 'how_masculine'])['important_binary'] .mean() .reset_index(name='percent_important'))summary['percent_important'] *=100# --- BAR PLOT ---sns.catplot( x="age_group", y="percent_important", hue="how_masculine", data=summary, kind="bar")plt.show()
Figure 44: Importance of Being Seen as Masculine by Age Group and Self-Perception.
Other styles
The other styles are variants on these. "ticks" is similar to "white", but adds small tick marks to the x- and y-axes. "dark" provides a gray background, and "darkgrid" provides a gray background with a white grid.
Code
import pandas as pdimport seaborn as snsimport matplotlib.pyplot as plt# Set the style to "whitegrid"sns.set_style("whitegrid")# Original datamasculinity = {'participant_id': list(range(1, 21)),'age': [35, 42, 29, 51, 37, 30, 45, 55, 25, 33, 40, 48, 28, 39, 47, 53, 26, 34, 43, 50],'how_masculine': ['very', 'somewhat', 'very', 'not at all', 'somewhat', 'very', 'somewhat', 'very','not at all', 'somewhat', 'very', 'somewhat', 'very', 'not at all', 'somewhat','very', 'somewhat', 'very', 'not at all', 'somewhat'],'how_important': ['very', 'somewhat', 'not very', 'somewhat', 'very', 'very', 'somewhat', 'not very','somewhat', 'very', 'very', 'somewhat', 'not very', 'somewhat', 'very', 'very','somewhat', 'not very', 'somewhat', 'very']}# Create age groupsbins = [20, 30, 40, 50, 60]labels = ['21–30', '31–40', '41–50', '51–60']df['age_group'] = pd.cut(df['age'], bins=bins, labels=labels, right=False)# Compute % of "very" or "somewhat" important by age group & masculinitydf['important_binary'] = df['how_important'].isin(['very', 'somewhat']).astype(int)summary = ( df.groupby(['age_group', 'how_masculine'])['important_binary'] .mean() .reset_index(name='percent_important'))summary['percent_important'] *=100# --- BAR PLOT ---sns.catplot( x="age_group", y="percent_important", hue="how_masculine", data=summary, kind="bar")plt.show()
Figure 45: Importance of Being Seen as Masculine by Age Group and Self-Perception.
Changing the palette
You can change the color of the main elements of the plot with Seaborn’s "set palette" function. Seaborn has many preset color palettes that you can refer to by name, or you can create your own custom palette. Let’s see an example.
Diverging palettes
Seaborn has a group of preset palettes called diverging palettes that are great to use if your visualization deals with a scale where the two ends of the scale are opposites and there is a neutral midpoint. Here are some examples of diverging palettes - red/blue and purple/green. Note that if you append the palette name with "_r", you can reverse the palette.
Example (default palette)
To see this in action, let’s return to a count plot we’ve seen before of the responses of men reporting how masculine they feel.
Code
import pandas as pdimport seaborn as snsimport matplotlib.pyplot as plt# Set the style to "whitegrid"sns.set_style("whitegrid")# Set to default palettesns.set_palette("deep")# Original datamasculinity = {'participant_id': list(range(1, 21)),'age': [35, 42, 29, 51, 37, 30, 45, 55, 25, 33, 40, 48, 28, 39, 47, 53, 26, 34, 43, 50],'how_masculine': ['very', 'somewhat', 'very', 'not at all', 'somewhat', 'very', 'somewhat', 'very','not at all', 'somewhat', 'very', 'somewhat', 'very', 'not at all', 'somewhat','very', 'somewhat', 'very', 'not at all', 'somewhat'],'how_important': ['very', 'somewhat', 'not very', 'somewhat', 'very', 'very', 'somewhat', 'not very','somewhat', 'very', 'very', 'somewhat', 'not very', 'somewhat', 'very', 'very','somewhat', 'not very', 'somewhat', 'very']}# Create age groupsbins = [20, 30, 40, 50, 60]labels = ['21–30', '31–40', '41–50', '51–60']df['age_group'] = pd.cut(df['age'], bins=bins, labels=labels, right=False)# Compute % of "very" or "somewhat" important by age group & masculinitydf['important_binary'] = df['how_important'].isin(['very', 'somewhat']).astype(int)summary = ( df.groupby(['age_group', 'how_masculine'])['important_binary'] .mean() .reset_index(name='percent_important'))summary['percent_important'] *=100# --- BAR PLOT ---sns.catplot( x="age_group", y="percent_important", hue="how_masculine", data=summary, kind="bar")plt.show()
Example (diverging palette)
Setting this plot’s palette to red/blue diverging provides a clearer contrast between the men who do not feel masculine and the men who do.
Code
import pandas as pdimport seaborn as snsimport matplotlib.pyplot as plt# Set the style to "whitegrid"sns.set_style("whitegrid")# Set a diverging color palette (reversed red-blue)sns.set_palette("RdBu_r")# Original datamasculinity = {'participant_id': list(range(1, 21)),'age': [35, 42, 29, 51, 37, 30, 45, 55, 25, 33, 40, 48, 28, 39, 47, 53, 26, 34, 43, 50],'how_masculine': ['very', 'somewhat', 'very', 'not at all', 'somewhat', 'very', 'somewhat', 'very','not at all', 'somewhat', 'very', 'somewhat', 'very', 'not at all', 'somewhat','very', 'somewhat', 'very', 'not at all', 'somewhat'],'how_important': ['very', 'somewhat', 'not very', 'somewhat', 'very', 'very', 'somewhat', 'not very','somewhat', 'very', 'very', 'somewhat', 'not very', 'somewhat', 'very', 'very','somewhat', 'not very', 'somewhat', 'very']}# Create age groupsbins = [20, 30, 40, 50, 60]labels = ['21–30', '31–40', '41–50', '51–60']df['age_group'] = pd.cut(df['age'], bins=bins, labels=labels, right=False)# Compute % of "very" or "somewhat" important by age group & masculinitydf['important_binary'] = df['how_important'].isin(['very', 'somewhat']).astype(int)summary = ( df.groupby(['age_group', 'how_masculine'])['important_binary'] .mean() .reset_index(name='percent_important'))summary['percent_important'] *=100# --- BAR PLOT ---sns.catplot( x="age_group", y="percent_important", hue="how_masculine", data=summary, kind="bar")plt.title("Importance of Being Seen as Masculine by Age Group and Self-Perception")plt.xlabel("Age Group")plt.ylabel("Percent Saying 'Very' or 'Somewhat' Important")plt.show()
Sequential palettes
Another group of palettes are called sequential palettes. These are a single color (or two colors blended) moving from light to dark values.
Sequential palette example
Sequential palettes are great for emphasizing a variable on a continuous scale. One example is this plot depicting the relationship between a car’s horsepower and its miles per gallon, where points grow larger and darker when the car has more cylinders.
Code
# Import packagesimport matplotlib.pyplot as pltimport seaborn as snsimport pandas as pd# Import datasetmpg = pd.read_csv("datasets/mpg.csv")# Set a sequential palette (e.g., "Blues")sns.set_palette("Blues")# Create scatter plot of horsepower vs. mpg# Map 'cylinders' to both size and color (hue)sns.relplot( x="horsepower", y="mpg", data=mpg, kind="scatter", size="cylinders", hue="cylinders", sizes=(40, 200))# Show plotplt.show()
Custom palettes
You can also create your own custom palettes by passing in a list of color names… or a list of hex color codes.
Code
# Import packagesimport matplotlib.pyplot as pltimport seaborn as snsimport pandas as pd# Import datasetmpg = pd.read_csv("datasets/mpg.csv")# Define a custom palette using hex codes or color namescustom_palette = ["#1f77b4", "#ff7f0e", "#2ca02c", "#d62728", "#9467bd"]# Create a mapping from unique cylinder values to colorsunique_cylinders =sorted(mpg["cylinders"].unique())palette_dict =dict(zip(unique_cylinders, custom_palette))# Create scatter plot of horsepower vs. mpgsns.relplot( x="horsepower", y="mpg", data=mpg, kind="scatter", size="cylinders", hue="cylinders", palette=palette_dict, sizes=(40, 200))# Show plotplt.show()
Changing the scale
Finally, you can change the scale of your plot by using the "set context" function. The scale options from smallest to largest are "paper", "notebook", "talk", and "poster".
Default context: “paper”
The default context is "paper".
Code
# Import packagesimport matplotlib.pyplot as pltimport seaborn as snsimport pandas as pd# Import datasetmpg = pd.read_csv("datasets/mpg.csv")# Set context to "paper" (default)sns.set_context("paper")# Create scatter plot of horsepower vs. mpgsns.relplot( x="horsepower", y="mpg", data=mpg, kind="scatter", size="cylinders")# Show plotplt.show()
Larger context: “talk”
You’ll want to choose a larger scale like "talk" for posters or presentations where the audience is further away from the plot.
Code
# Import packagesimport matplotlib.pyplot as pltimport seaborn as snsimport pandas as pd# Import datasetmpg = pd.read_csv("datasets/mpg.csv")# Set context to "talk" (larger)sns.set_context("talk")# Create scatter plot of horsepower vs. mpgsns.relplot( x="horsepower", y="mpg", data=mpg, kind="scatter", size="cylinders")# Show plotplt.show()
Exercise 5
Changing style and palette
Set the style to "whitegrid" to help the audience determine the number of responses in each category: "Never", "Rarely", "Sometimes", "Often", "Always".
Create a count plot of survey responses
Code
# Import packagesimport matplotlib.pyplot as pltimport seaborn as snsimport pandas as pd# Import datasetsurvey_data = pd.read_csv('datasets/young-people-survey-responses.csv')# Set the style to "whitegrid" to help the audience determine the number of responses in each category.sns.set_style("whitegrid")# Define the mapping from numerical values to categoriesadvice_mapping = {0: "Never",1: "Rarely",2: "Sometimes",3: "Often",4: "Always"}# Apply the mapping to the 'Parents' advice' columnsurvey_data["Parents' advice"] = survey_data["Parents' advice"].map(advice_mapping)# Create a count plot of survey responsescategory_order = ["Never", "Rarely", "Sometimes", "Often", "Always"]sns.catplot(x="Parents' advice", data=survey_data, kind="count", order=category_order)# Show plotplt.show()
Set the color palette to the sequential palette named "Purples".
Code
# Import packagesimport matplotlib.pyplot as pltimport seaborn as snsimport pandas as pd# Import datasetsurvey_data = pd.read_csv('datasets/young-people-survey-responses.csv')# Set the color palette to the sequential palette named "Purples"sns.set_palette("Purples")# Define the mapping from numerical values to categoriesadvice_mapping = {0: "Never",1: "Rarely",2: "Sometimes",3: "Often",4: "Always"}# Apply the mapping to the 'Parents' advice' columnsurvey_data["Parents' advice"] = survey_data["Parents' advice"].map(advice_mapping)# Create a count plot of survey responsescategory_order = ["Never", "Rarely", "Sometimes", "Often", "Always"]sns.catplot(x="Parents' advice", data=survey_data, kind="count", order=category_order)# Show plotplt.show()
Set the color palette to the sequential palette named “Purples”.
Code
# Import packagesimport matplotlib.pyplot as pltimport seaborn as snsimport pandas as pd# Import datasetsurvey_data = pd.read_csv('datasets/young-people-survey-responses.csv')sns.set_style("whitegrid")sns.set_palette("Purples")# Define the mapping from numerical values to categoriesadvice_mapping = {0: "Never",1: "Rarely",2: "Sometimes",3: "Often",4: "Always"}# Apply the mapping to the 'Parents' advice' columnsurvey_data["Parents' advice"] = survey_data["Parents' advice"].map(advice_mapping)# Create a count plot of survey responsescategory_order = ["Never", "Rarely", "Sometimes", "Often", "Always"]sns.catplot(x="Parents' advice", data=survey_data, kind="count", order=category_order)# Show plotplt.show()
Change the color palette to the diverging palette named "RdBu".
Code
# Import packagesimport matplotlib.pyplot as pltimport seaborn as snsimport pandas as pd# Import datasetsurvey_data = pd.read_csv('datasets/young-people-survey-responses.csv')sns.set_style("whitegrid")sns.set_palette("RdBu")# Define the mapping from numerical values to categoriesadvice_mapping = {0: "Never",1: "Rarely",2: "Sometimes",3: "Often",4: "Always"}# Apply the mapping to the 'Parents' advice' columnsurvey_data["Parents' advice"] = survey_data["Parents' advice"].map(advice_mapping)# Create a count plot of survey responsescategory_order = ["Never", "Rarely", "Sometimes", "Often", "Always"]sns.catplot(x="Parents' advice", data=survey_data, kind="count", order=category_order)# Show plotplt.show()
Set the scale ("context") to "paper", which is the smallest of the scale options.
Code
sns.set_context("paper")# Create bar plotsns.catplot(x="Siblings", y="Loneliness", data=survey_data, kind="bar")# Show plotplt.show()
Change the context to "notebook" to increase the scale.
Code
# Import packagesimport matplotlib.pyplot as pltimport seaborn as snsimport pandas as pd# Import datasetsurvey_data = pd.read_csv('datasets/young-people-survey-responses.csv')sns.set_context("notebook")# Create bar plotsns.catplot(x="Siblings", y="Loneliness", data=survey_data, kind="bar")# Show plotplt.show()
Change the context to "talk" to increase the scale.
Code
# Import packagesimport matplotlib.pyplot as pltimport seaborn as snsimport pandas as pd# Import datasetsurvey_data = pd.read_csv('datasets/young-people-survey-responses.csv')sns.set_context("talk")# Create bar plotsns.catplot(x="Siblings", y="Loneliness", data=survey_data, kind="bar")# Show plotplt.show()
Change the context to "poster", which is the largest scale available.
Code
# Import packagesimport matplotlib.pyplot as pltimport seaborn as snsimport pandas as pd# Import datasetsurvey_data = pd.read_csv('datasets/young-people-survey-responses.csv')sns.set_context("poster")# Create bar plotsns.catplot(x="Siblings", y="Loneliness", data=survey_data, kind="bar")# Show plotplt.show()
Set the style to "darkgrid" and custom color palette with the hex color codes "#39A7D0" and "#36ADA4".
Code
# Import packagesimport matplotlib.pyplot as pltimport seaborn as snsimport pandas as pd# Import datasetsurvey_data = pd.read_csv('datasets/young-people-survey-responses.csv')sns.set_style("darkgrid")# Set a custom color palettesns.set_palette(["#39A7D0", "#36ADA4"])# Create the box plot of age distribution by gendersns.catplot(x="Gender", y="Age", data=survey_data, kind="box")# Show plotplt.show()
Chapter 6.1: Adding titles and labels: Part 1
Welcome! In the next two lessons, we’ll go over one of the most important parts of any data visualization: plot titles and axis labels.
Creating informative visualizations
We create data visualizations to communicate information, and we can’t do that effectively without a clear title and informative axis labels. To see this, let’s compare two versions of the same visualization. On the left, we see box plots showing the distribution of birth rates for countries in each of 11 regions. On the right, we see the same visualization with three key modifications to make it easier to understand. A title is added, which immediately orients the audience to what they’re looking at. The axis labels are more informative, making it clearer that birth rate is measured per one thousand people and birth rates are measured per country in each region. Finally, the x-axis tick labels are rotated to make it clear what each region is called. Let’s learn how to make these changes.
FacetGrid vs. AxesSubplot objects
Before we go into the details of adding a title, we need to understand the underlying mechanism in Seaborn. Seaborn’s plot functions create two different types of objects: FacetGrids and AxesSubplots. To figure out which type of object you’re working with, first assign the plot output to a variable. In the documentation, the variable is often named "g", so we’ll do that here as well. Write "type""g" to return the object type. This scatter plot is an AxesSubplot.
Code
# Import packagesimport matplotlib.pyplot as pltimport seaborn as snsimport pandas as pd# Import datasetmpg = pd.read_csv("datasets/mpg.csv")g = sns.scatterplot(x="horsepower", y="mpg", data=mpg)type(g)
matplotlib.axes._axes.Axes
An Empty FacetGrid
A FacetGrid consists of one or more AxesSubplots, which is how it supports subplots.
FacetGrid vs. AxesSubplot objects
Recall that "relplot()" and "catplot()" both support making subplots. This means that they are creating FacetGrid objects. In contrast, single-type plot functions like "scatterplot()" and "countplot()" return a single AxesSubplot object.
Adding a title to FacetGrid
Let’s return to our messy plot from the beginning. Recall that "catplot()" enables subplots, so it returns a FacetGrid object. To add a title to a FacetGrid object, first assign the plot to the variable "g". After you assign the plot to "g", you can set the title using "g.fig.suptitle". This tells Seaborn you want to set a title for the figure as a whole.
Code
import seaborn as snsimport matplotlib.pyplot as plt# Load Seaborn's 'tips' datasettips = sns.load_dataset("tips")# Create a box plot using catplot and assign to variable 'g'g = sns.catplot( x="day", y="total_bill", data=tips, kind="box", palette="pastel")# Add a title to the entire figureg.fig.suptitle("Distribution of Total Bill Amounts by Day")# Show the plotplt.show()
Adjusting height of title in FacetGrid
Note that by default, the figure title might be a little low. To adjust the height of the title, you can use the “y” parameter. The default value is 1, so setting it to 1.03 will make it a little higher than the default.
Code
import seaborn as snsimport matplotlib.pyplot as plt# Load Seaborn's 'tips' datasettips = sns.load_dataset("tips")# Create a box plot using catplot and assign to variable 'g'g = sns.catplot( x="day", y="total_bill", data=tips, kind="box", palette="pastel")# Add a title to the entire figureg.fig.suptitle("Distribution of Total Bill Amounts by Day", y=1.03)# Show the plotplt.show()
Figure 46: Distribution of Total Bill Amounts by Day.
Exercise 6
FacetGrids vs. AxesSubplots
Create scatter plot weight against horsepower of a vehicle.
Identify plot type and print type.
Code
# Import packagesimport matplotlib.pyplot as pltimport seaborn as snsimport pandas as pd# Import datasetmpg = pd.read_csv("datasets/mpg.csv")# Create scatter plotg = sns.relplot(x="weight", y="horsepower", data=mpg, kind="scatter")# Identify plot typetype_of_g =type(g)# Print typeprint(f'The datatype is: {type_of_g}')
The datatype is: <class 'seaborn.axisgrid.FacetGrid'>
Create scatter plot of the above scatter plot and add title.
Code
# Import packagesimport matplotlib.pyplot as pltimport seaborn as snsimport pandas as pd# Import datasetmpg = pd.read_csv("datasets/mpg.csv")g = sns.relplot(x="weight", y="horsepower", data=mpg, kind="scatter")# Add a title "Car Weight vs. Horsepower"g.fig.suptitle("Car Weight vs. Horsepower")# Show plotplt.show()
Chapter 6.2: Adding titles and labels: Part 2
Hello! In this lesson, we’ll continue learning how to customize plot titles and axis labels.
Adding a title to AxesSubplot
In the last lesson, Section 2.14, we learned how to add a title to a FacetGrid object using "g.fig.suptitle". To add a title to an AxesSubplot object like that from the "box plot" function, assign the plot to a variable and use “g.set_title”. You can also use the “y” parameter here to adjust the height of the title, Figure 46.
Titles for subplots
Now let’s look at what happens if the figure has subplots. Let’s say we’ve divided countries into two groups - group one and group two - and we’ve set “col” equal to "Group" to create a subplot for each group. Since g is a FacetGrid object, using "g.fig.suptitle" will add a title to the figure as a whole. To alter the subplot titles, use "g.set_titles" to set the titles for each AxesSubplot. If you want to use the variable name in the title, you can use “col name” in braces to reference the column value. Here, we’ve created subplot titles that display as "this is group 2" and "this is group 1".
Code
import pandas as pdimport numpy as npimport seaborn as snsimport matplotlib.pyplot as plt# Set stylesns.set_style("whitegrid")# Create DataFrame — 3 countries per groupdf = pd.DataFrame({"Country": ["Nigeria", "Kenya", "Ghana", # Group 1"France", "Germany", "Italy"# Group 2 ],"GDP_per_capita": np.random.randint(2000, 60000, 6),"Life_Expectancy": np.random.uniform(50, 85, 6),"Group": ["Group 1"] *3+ ["Group 2"] *3})# Create FacetGrid scatter plotsg = sns.relplot( data=df, x="GDP_per_capita", y="Life_Expectancy", col="Group", kind="scatter", height=4, aspect=1, hue="Country", palette="tab10")# Add a main title for the entire figureg.fig.suptitle("Life Expectancy vs GDP per Capita by Group", fontsize=14, y=1.05)# Add subplot titles dynamicallyg.set_titles("This is {col_name}")# Rotate x-axis labels for clarity (optional)plt.xticks(rotation=30)# Show plotplt.show()
Figure 47: Custom Titles for Subplots Using FacetGrid.
Adding axis labels
To add axis labels, assign the plot to a variable and then call the "set" function. Set the parameters "x label" and "y label" to set the desired x-axis and y-axis labels, respectively. This works with both FacetGrid and AxesSubplot objects.
Code
import pandas as pdimport numpy as npimport seaborn as snsimport matplotlib.pyplot as plt# Apply Seaborn stylesns.set_style("whitegrid")# Create DataFrame — 3 countries per groupdf = pd.DataFrame({"Country": ["Nigeria", "Kenya", "Ghana", # Group 1"France", "Germany", "Italy"# Group 2 ],"GDP_per_capita": np.random.randint(2000, 60000, 6),"Life_Expectancy": np.random.uniform(50, 85, 6),"Group": ["Group 1"] *3+ ["Group 2"] *3})# Create FacetGrid scatter plotsg = sns.relplot( data=df, x="GDP_per_capita", y="Life_Expectancy", col="Group", kind="scatter", height=4, aspect=1, hue="Country", palette="tab10")# Add a main title for the entire figureg.fig.suptitle("Life Expectancy vs GDP per Capita by Group", fontsize=14, y=1.05)# Add subplot titles dynamicallyg.set_titles("This is {col_name}")# Add axis labels using .set()g.set( xlabel="GDP per Capita (USD)", ylabel="Life Expectancy (Years)")# Rotate x-axis labels for clarity (optional)plt.xticks(rotation=30)# Show plotplt.show()
Figure 48: Adding Axis Labels and Subplot Titles Using FacetGrid.
Rotating x-axis tick labels
Sometimes, like in the example we’ve seen in this lesson, your tick labels may overlap, making it hard to interpret the plot. One way to address this is by rotating the tick labels. To do this, we don’t call a function on the plot object itself. Instead, after we create the plot, we call the matplotlib function "plt.xticks" and set "rotation" equal to 90 degrees. This works with both FacetGrid and AxesSubplot objects.
Code
import pandas as pdimport numpy as npimport seaborn as snsimport matplotlib.pyplot as plt# Apply Seaborn stylesns.set_style("whitegrid")# Create datasetdf = pd.DataFrame({"Country": ["Nigeria", "Kenya", "Ghana", "Ethiopia", "South Africa","Uganda", "Tanzania", "Cameroon", "Zambia", "Rwanda","France", "Germany", "Italy", "Spain", "Sweden","Norway", "Poland", "Greece", "Portugal", "Netherlands" ],"GDP_per_capita": np.random.randint(2000, 60000, 20),"Life_Expectancy": np.random.uniform(50, 85, 20),"Group": ["Group 1"] *10+ ["Group 2"] *10})# Create FacetGrid scatter plotsg = sns.relplot( data=df, x="GDP_per_capita", y="Life_Expectancy", col="Group", kind="scatter", height=4, aspect=1, hue="Country")# Add a main title for the entire figureg.fig.suptitle("Life Expectancy vs GDP per Capita by Group", fontsize=14, y=1.05)# Add subplot titles dynamicallyg.set_titles("This is {col_name}")# Add axis labels using .set()g.set( xlabel="GDP per Capita (USD)", ylabel="Life Expectancy (Years)")# Rotate tick labels for better readabilityplt.xticks(rotation=90)# Adjust layout for spacingplt.tight_layout()plt.show()
Figure 49: Rotating Tick Labels in FacetGrid Subplots.
Exercise 6
Adding a title and axis labels
Create line plot with model year in x axis and mean of mpg of countries of origin on y axis.
Add a title "Average MPG Over Time".
Code
# Import packagesimport matplotlib.pyplot as pltimport seaborn as snsimport pandas as pd# Load datasetmpg = pd.read_csv("datasets/mpg.csv")# Compute average MPG by model year and originmpg_mean = ( mpg.groupby(['origin', 'model_year'])['mpg'] .mean() .reset_index())# Create line plotg = sns.lineplot(x="model_year", y="mpg", data=mpg_mean, hue="origin")# Add a title "Average MPG Over Time"g.set_title("Average MPG Over Time")# Show plotplt.show()
Figure 50: Average Miles per Gallon (MPG) Over Time by Origin.
Create a line plot between model_year and mean of mpg. Add a title "Average MPG Over Time"; Add x-axis and y-axis labels
Code
# Import packagesimport matplotlib.pyplot as pltimport seaborn as snsimport pandas as pd# Load datasetmpg = pd.read_csv("datasets/mpg.csv")# Compute average MPG by model year and originmpg_mean = ( mpg.groupby(['origin', 'model_year'])['mpg'] .mean() .reset_index())# Create line plotg = sns.lineplot(x="model_year", y="mpg", data=mpg_mean, hue="origin")# Add a title "Average MPG Over Time"g.set_title("Average MPG Over Time")# Add x-axis and y-axis labelsg.set(xlabel="Car Model Year", ylabel="Average MPG" )# Show plotplt.show()
Create point plot, with Countries of origin on the x-axis and acceleration on the y-axis. Rotate x-tick labels to 90 degree.
Code
# Import packagesimport matplotlib.pyplot as pltimport seaborn as snsimport pandas as pd# Import datasetmpg = pd.read_csv("datasets/mpg.csv")# Create point plotsns.catplot(x="origin", y="acceleration", data=mpg, kind="point", join=False, capsize=0.1)# Rotate x-tick labels to 90 degreeplt.xticks(rotation=90)# Show plotplt.show()
Set palette to "Blues", Create box plot using catplot, with Gender on the x-axis and Age on y-axis, set hue to Pets, which means those interested in pets, add title.
Code
# Import packagesimport matplotlib.pyplot as pltimport seaborn as snsimport pandas as pd# Import datasetsurvey_data = pd.read_csv('datasets/young-people-survey-responses.csv')# Set palette to "Blues"sns.set_palette("Blues")# Adjust to add subgroups based on "Interested in Pets"g = sns.catplot(x="Gender", y="Age", data=survey_data, kind="box", hue="Pets")# Set title to "Age of Those Interested in Pets vs. Not"g.fig.suptitle("Age of Those Interested in Pets vs. Not")# Show plotplt.show()
Create a bar plot using relplot and setting x-axis to Village - town and y-axis to Gender and col to Gender. Add title and x and y labels.
Code
# Import packagesimport matplotlib.pyplot as pltimport seaborn as snsimport pandas as pd# Import datasetsurvey_data = pd.read_csv('datasets/young-people-survey-responses.csv')# Bar plot with subgroups and subplots# Set the figure style to "dark".sns.set_style("dark")# Adjust the bar plot code to add subplots based on "Gender", arranged in columns.g = sns.catplot(x="Village - town", y="Techno", data=survey_data, kind="bar", col="Gender")# Add the title "Percentage of Young People Who Like Techno" to this FacetGrid plot.g.fig.suptitle("Percentage of Young People Who Like Techno", y=1.02)g.set(xlabel="Location of Residence", ylabel="% Who Like Techno")# Label the x-axis "Location of Residence" and y-axis "% Who Like Techno".plt.show()
Reference
Introduction to Data Visualization with Seaborn Course for Associate Data Scientist in Python Carrer Track in DataCamp Inc by Erin Case.
Source Code
---title: "Introduction to Data Visualization with Seaborn"author: - name: "Lawal's Note" affiliation: "Associate Data Science Course in Python by DataCamp Inc"date: "2025-10-21"toc: trueunnumbered: truehighlight-style: pygmentsformat: html: css: global/style/style.css code-fold: true code-tools: true pdf: geometry: - top=30mm - left=20mm fig-width: 4 fig-height: 3 pdf-engine: xelatex docx: defaultexecute: warning: false echo: true eval: true output: true error: false cache: false include: truejupyter: python3---## Chapter 1: Introduction to Seaborn {#sec-C1}---### Chapter 1.1: What is Seaborn? {#sec-C1.1}---What is Seaborn? Seaborn is a powerful Python library for creating data visualizations. It was developed in order to make it easy to create the most common types of plots. The plot shown here can be created with just a few lines of Seaborn code.1 Waskom, M. L. (2021). seaborn: statistical data visualization. [https://seaborn.pydata.org/](https://seaborn.pydata.org/)#### Why is Seaborn useful?---This is a picture of a typical data analysis workflow. Data visualization is often a huge component of both the data exploration phase and the communication of results, so Seaborn will be very useful there.#### Advantages of Seaborn---There are several tools that can be used for data visualization, but Seaborn offers several advantages. First, Seaborn's main purpose is to make data visualization easy. It was built to automatically handle a lot of complexity behind the scenes. Second, Seaborn works extremely well with pandas data structures. `pandas` is a Python library that is widely used for data analysis. Finally, it's built on top of `Matplotlib`, which is another Python visualization library. Matplotlib is extremely flexible. Seaborn allows you to take advantage of this flexibility when you need it, while avoiding the complexity that Matplotlib's flexibility can introduce.#### Getting started---To get started, we'll need to import the `Seaborn` library. The line `"import seaborn as sns"` will import `Seaborn` as the conventionally used alias `"sns"`. Why `"sns"`? The Seaborn library was apparently named after a character named Samuel Norman Seaborn from the television show `"The West Wing"` - thus, the standard alias is the character's initials (`"sns"`). We also need to import `Matplotlib`, which is the library that Seaborn is built on top of. We do this by typing `"import matplotlib.pyplot as plt"`. `"plt"` is the alias that most people use to refer to `Matplotlib`, so we'll use that here as well.```python# Import packagesimport seaborn as snsimport matplotlib.pyplot as plt```#### Example 1: Scatter plot---Let's now dive into an example to illustrate how easily you can create visualizations using Seaborn. Here, we have data for 10 people consisting of lists of their heights in inches and their weights in pounds. Do taller people tend to weigh more? You can visualize this using a type of plot known as a scatter plot, which you'll learn more about later in the course. Use `"sns.scatterplot()"` to call the scatterplot function from the Seaborn library. Then, specify what to put on the x-axis and y-axis. Finally, call the `"plt.show()"` function from Matplotlib to show the scatterplot. This plot shows us that taller people tend to have a higher weight.```python# Import packagesimport seaborn as snsimport matplotlib.pyplot as plt# Import datasetdf = pd.read_csv("datasets/data.csv")sns.scatterplot(x=weights, y=heights, data = df)# Show plotplt.show()```#### Example 2: Create a count plot---How many of our observations of heights and weights came from males vs. females? You can use another type of plot - the count plot - to investigate this. Count plots take in a categorical list and return bars that represent the number of list entries per category. Use the `"countplot()"` function and provide the list of every person's gender. This count plot shows that out of the 10 observations we had in our height and weight scatter plot, 6 were male and 4 were female.```python# Import packagesimport seaborn as snsimport matplotlib.pyplot as plt# Import datasetdf = pd.read_csv("datasets/data.csv")sns.countplot(x='Gender', data = df)# Show plotplt.show()```#### Course Preview---Now, those were a couple of simple examples. Throughout this course, you'll learn to make more complex visualizations such as those pictured here. More importantly, you'll learn when to use each type of visualization in order to most effectively extract and communicate insights using data.1 Waskom, M. L. (2021). seaborn: statistical data visualization. [https://seaborn.pydata.org/](https://seaborn.pydata.org/)### Exercise 1.1 {#sec-E1.1}---1. Import the relevant packages and load dataset.2. Convert columns to numeric data types.3. Create scatter plot with `GDP` on the x-axis and `number of phones` on the y-axis.4. Change this scatter plot to have percent literate on the y-axis.5. Create count plot with region on the y-axis.```{python}# Import packagesimport matplotlib.pyplot as pltimport seaborn as snsimport pandas as pd# Load datasetdf = pd.read_csv("datasets/countries-of-the-world.csv")# List of columns to convert to numericnum_cols = ['Pop. Density (per sq. mi.)','Coastline (coast/area ratio)','Net migration','Infant mortality (per 1000 births)','GDP ($ per capita)','Literacy (%)','Phones (per 1000)','Arable (%)','Crops (%)','Other (%)','Climate','Birthrate','Deathrate','Agriculture','Industry','Service']# Convert columns to numeric (float), forcing errors to NaNfor col in num_cols: df[col] = pd.to_numeric(df[col].astype(str).str.replace(',', '').str.strip(), errors='coerce')# Create scatter plot with GDP on the x-axis and number of phones on the y-axissns.scatterplot(x='GDP ($ per capita)', y='Phones (per 1000)', data=df)plt.title('GDP vs Number of Phones')plt.xlabel('GDP ($ per capita)')plt.ylabel('Phones (per 1000 people)')plt.show()# Change this scatter plot to have percent literate on the y-axissns.scatterplot(x='GDP ($ per capita)', y='Literacy (%)', data=df)plt.show()# Create count plot with region on the y-axissns.countplot(y='Region', data = df) # Show plot plt.show()```### Chapter 1.2: Using pandas with Seaborn {#sec-C1.2}---Data scientists commonly use pandas to perform data analysis, so it's a huge advantage that Seaborn works extremely well with pandas data structures. Let's see how this works!#### What is pandas?---`pandas` is a python library for data analysis. It can easily read datasets from many types of files including `csv` and `txt` files. pandas supports several types of data structures, but the most common one is the DataFrame object. When you read in a dataset with pandas, you will create a DataFrame.#### Working with DataFrames {#sec-C1.3}---Let's look at an example. First, import the `pandas` library as `"pd"`. Then, use the `"read_csv"` function to read the `csv` file named `"masculinity.csv"` and create a pandas DataFrame called `"df"`. Calling `"head"` on the DataFrame will show us its first five rows. This dataset contains the results of a survey of adult men. We can see that it has four columns: `"participant_id"`; `"age"`; `"how_masculine"`, which is that person's response to the question `"how masculine or 'manly' do you feel?"`; and `"how_important"`, which is the response to the question `"how important is it to you that others see you as masculine?"````{python}#| label: code-load-data#| code-summary: "Load and preview masculinity survey data"# Import the pandas libraryimport pandas as pd# Data provided by the user, extended to 20 rowsmasculinity = {'participant_id': list(range(1, 21)),'age': [35, 42, 29, 51, 37, 30, 45, 55, 25, 33, 40, 48, 28, 39, 47, 53, 26, 34, 43, 50],'how_masculine': ['very', 'somewhat', 'very', 'not at all', 'somewhat', 'very', 'somewhat', 'very', 'not at all', 'somewhat', 'very', 'somewhat', 'very', 'not at all', 'somewhat', 'very', 'somewhat', 'very', 'not at all', 'somewhat'],'how_important': ['very', 'somewhat', 'not very', 'somewhat', 'very', 'very', 'somewhat', 'not very', 'somewhat', 'very', 'very', 'somewhat', 'not very', 'somewhat', 'very', 'very', 'somewhat', 'not very', 'somewhat', 'very']}# Create the DataFramedf = pd.DataFrame(masculinity)# Display the first five rows of the DataFrameprint(df.head())```#### Using DataFrames with countplot()---Now let's look at how to make a count plot with a DataFrame instead of a list of data. The first thing we'll do is import `pandas`, `Matplotlib` and `Seaborn` as we have in past examples. Then, we'll create a pandas DataFrame called `"df"` from the `masculinity` csv file. To create a count plot with a pandas DataFrame column instead of a list of data, set `x` equal to the name of the column in the DataFrame - in this case, we'll use the `"how_masculine"` column. Then, we'll set the data parameter equal to our DataFrame, `"df"`. After calling `"plt.show"`, we can see that we have a nice count plot of the values in the `"how_masculine"` column of our data. This plot shows us that the most common response to the question `"how masculine or 'manly' do you feel?"` is `"somewhat"`, with `"very"` being the second most common response. Note also that because we're using a named column in the DataFrame, Seaborn automatically adds the name of the column as the x-axis label at the bottom.```{python}#| label: fig-mas#| fig-cap: "Distribution of Masculinity Perception."# Import librariesimport matplotlib.pyplot as pltimport seaborn as snsimport pandas as pd# Data provided by the user, extended to 20 rowsmasculinity = {'participant_id': list(range(1, 21)),'age': [35, 42, 29, 51, 37, 30, 45, 55, 25, 33, 40, 48, 28, 39, 47, 53, 26, 34, 43, 50],'how_masculine': ['very', 'somewhat', 'very', 'not at all', 'somewhat', 'very', 'somewhat', 'very', 'not at all', 'somewhat', 'very', 'somewhat', 'very', 'not at all', 'somewhat', 'very', 'somewhat', 'very', 'not at all', 'somewhat'],'how_important': ['very', 'somewhat', 'not very', 'somewhat', 'very', 'very', 'somewhat', 'not very', 'somewhat', 'very', 'very', 'somewhat', 'not very', 'somewhat', 'very', 'very', 'somewhat', 'not very', 'somewhat', 'very']}# Create the DataFramedf = pd.DataFrame(masculinity)# Create a count plot using the 'how_masculine' columnsns.countplot(x="how_masculine", data=df)# Display the plotplt.show()```#### "Tidy" data---Let's pause for an important note here. Seaborn works great with pandas DataFrames, but only if the DataFrame is `"tidy"`. `"Tidy data"` means that each observation has its own row and each variable has its own column. The `"masculinity"` DataFrame shown here is tidy because each row is a survey response with one answer to each survey question in each column. Making a count plot with the `"how masculine"` column works just like passing in a list of that column's values.#### "Untidy" data---In contrast, here is an example of an `"untidy"` DataFrame made from the same survey on masculinity. In this untidy DataFrame, notice how each row doesn't contain the same information. Row 0 contains the age categories, rows 1 and 7 contain the question text, and the other rows contain summary data of the responses. This will not work well with Seaborn. Unlike the tidy DataFrame, values in the `"Age"` column don't look like a list of age categories for each observation. Transforming untidy DataFrames into tidy ones is possible, but it's not in scope for this course. There are other DataCamp courses that can teach you how to do this.### Chapter 1.3: Adding a third variable with hue {#sec-C1.4}---We saw in the last lesson that a really nice advantage of Seaborn is that it works well with pandas DataFrames. In this lesson, we'll see another big advantage that Seaborn offers: the ability to quickly add a third variable to your plots by adding color.#### Tips dataset---To showcase this cool feature in Seaborn, we'll be using Seaborn's built-in tips dataset. You can access it by using the `"load dataset"` function in Seaborn and passing in the name of the dataset. These are the first five rows of the tips dataset. This dataset contains one row for each table served at a restaurant and has information about things like the bill amount, how many people were at the table, and when the table was served. Let's explore the relationship between the `"total_bill"` and `"tip"` columns using a scatter plot.```{python}# Import required librariesimport seaborn as snsimport pandas as pdimport matplotlib.pyplot as plt# Load Seaborn's built-in 'tips' datasetdf = sns.load_dataset("tips")# Display the first five rowsdf.head()```#### A basic scatter plot---Here is the code to generate it. The total bill per table (in dollars) is on the x-axis, and the total tip (in dollars) is on the y-axis. We can see from this plot that larger bills are associated with larger tips. What if we want to see which of the data points are smokers versus non-smokers? Seaborn makes this super easy.```{python}#| label: fig-tip1#| fig-cap: "Relationship Between Total Bill and Tip."# Import required librariesimport seaborn as snsimport pandas as pdimport matplotlib.pyplot as plt# Load Seaborn's built-in 'tips' datasetdf = sns.load_dataset("tips")sns.scatterplot(x="total_bill", y="tip", data=df)# Show the figureplt.show()```#### A scatter plot with hue---You can set the `"hue"` parameter equal to the DataFrame column name `"smoker"` and then Seaborn will automatically color each point by whether they are a smoker. Plus, it will add a legend to the plot automatically! If you don't want to use pandas, you can set it equal to a list of values instead of a column name.```{python}#| label: fig-tip2#| fig-cap: "Relationship Between Total Bill and Tip by Smoking Status."# Import librariesimport seaborn as snsimport matplotlib.pyplot as plt# Load the built-in 'tips' datasetdf = sns.load_dataset("tips")# Create scatter plot with 'hue' parametersns.scatterplot(x="total_bill", y="tip", hue="smoker", data=df)# Display the plotplt.show()```#### Setting hue order---Hue also allows you to assert more control over the ordering and coloring of each value. The "hue order" parameter takes in a list of values and will set the order of the values in the plot accordingly. Notice how the legend for smoker now lists `"yes"` before `"no"`.```{python}#| label: fig-tip3#| fig-cap: "Relationship Between Total Bill and Tip by Smoking Status (Hue Order Set)."# Import librariesimport seaborn as snsimport matplotlib.pyplot as plt# Load the built-in 'tips' datasetdf = sns.load_dataset("tips")# Create scatter plot with controlled hue ordersns.scatterplot( x="total_bill", y="tip", hue="smoker", hue_order=["Yes", "No"], data=df)# Show the plotplt.show()```#### Specifying `hue` Colors---You can also control the specific colors assigned to each category by using the **`palette`** parameter. This parameter accepts a **dictionary**, which maps each unique value of the `hue` variable to a desired color. For instance, we can create a dictionary called **`hue_colors`** that maps `"Yes"` to **black** and `"No"` to **red**. Then, by setting `hue="smoker"` and `palette=hue_colors`, we’ll produce a scatter plot where **smokers** are represented by black dots and **non-smokers** by red dots.```{python}#| label: fig-tip4#| fig-cap: "Relationship Between Total Bill and Tip by Smoking Status (Custom Order Set)."# Import librariesimport seaborn as snsimport matplotlib.pyplot as plt# Load the built-in 'tips' datasetdf = sns.load_dataset("tips")# Define custom color mapping for huehue_colors = {"Yes": "black", "No": "red"}# Create scatter plot with custom hue colorssns.scatterplot( x="total_bill", y="tip", hue="smoker", palette=hue_colors, data=df)# Display the plotplt.show()```#### Color options---In the last example, we used the words "black" and "red" to define what the hue colors should be. This only works for a small set of color names that are defined by Matplotlib. Here is the list of Matplotlib colors and their names. Note that you can use a single-letter Matplotlib abbreviation instead of the full name. You can also use an HTML color hex code instead of these Matplotlib color names, which allows you to choose any color you want to.```{python}# Import librariesimport seaborn as snsimport matplotlib.pyplot as plt# Load the built-in 'tips' datasetdf = sns.load_dataset("tips")# Define custom color mapping for huehue_colors = {"Yes": "k", "No": "r"}# Create scatter plot with custom hue colorssns.scatterplot( x="total_bill", y="tip", hue="smoker", palette=hue_colors, data=df)# Display the plotplt.show()```#### Using HTML hex color codes with hue---Here's an example using HTML hex codes. Make sure you put the hex codes in quotes with a pound sign at the beginning.```{python}#| label: fig-tip5#| fig-cap: "Total Bill vs Tip — Custom Hex Color Palette."# Define colors using HTML hex codeshue_colors = {"Yes": "#000000", "No": "#FF0000"}# Create scatter plot with hex colorssns.scatterplot(x="total_bill",y="tip",hue="smoker",palette=hue_colors,data=df)plt.show()```#### Using hue with count plots---As a final note, hue is available in most of Seaborn's plot types. For example, this count plot shows the number of observations we have for smokers versus non-smokers, and setting `"hue"` equal to `"sex"` divides these bars into subgroups of males versus females. From this plot, we can see that males outnumber females among both smokers and non-smokers in this dataset.```{python}# Create count plot with hue for 'sex'sns.countplot(x="smoker", hue="sex", data=df)# Show figureplt.show()```### Exercise 1.3---In the prior lesson, we learned how hue allows us to easily make subgroups within Seaborn plots. Let's try it out by exploring data from students in secondary school. We have a lot of information about each student like their age, where they live, their study habits and their extracurricular activities.1. Create a scatter plot of `absences` vs. `final grade`.2. Show plot.```{python}# Import packagesimport matplotlib.pyplot as pltimport seaborn as snsimport pandas as pd# Import datasetstudent_data = pd.read_csv('datasets/student-alcohol-consumption.csv')# Create a scatter plot of absences vs. final gradesns.scatterplot(x="absences", y="G3", data=student_data)# Show plotplt.show()```#### Exercise 1.3.2---1. Create a scatter plot with `"absences"` on the x-axis and final grade (`"G3"`) on the y-axis using the DataFrame `student_data`. Color the plot points based on `"location"` (urban vs. rural).2. Make `"Rural"` appear before `"Urban"` in the plot legend.```{python}# Change the legend order in the scatter plotsns.scatterplot(x="absences", y="G3", data=student_data, hue="location", hue_order=["Rural", "Urban"])plt.show()```#### Exercise 1.3.3---1. Fill in the `palette_colors` dictionary to map the `"Rural"` location value to the color `"green"` and the `"Urban"` location value to the color `"blue"`.2. Create a count plot with `"school"` on the x-axis using the `student_data` DataFrame.3. Add subgroups to the plot using `"location"` variable and use the `palette_colors` dictionary to make the `location` subgroups `green` and `blue`.```{python}# Import Matplotlib, Seaborn, and Pandasimport matplotlib.pyplot as pltimport seaborn as snsimport pandas as pd# Import datasetstudent_data = pd.read_csv('datasets/student-alcohol-consumption.csv')# Create a dictionary mapping subgroup values to colorspalette_colors = {"Rural": "green", "Urban": "blue"}# Create a count plot of school with location subgroupssns.countplot( x="school", hue="location", data=student_data, palette=palette_colors)# Display plotplt.show()```## Chapter 2.1: Introduction to relational plots and subplots {#sec-C2.1}---Many questions in data science are centered around describing the relationship between two quantitative variables. Seaborn calls plots that visualize this relationship `"relational plots"`.#### Questions about quantitative variables---So far we've seen several examples of questions about the relationship between two quantitative variables, and we answered them with scatter plots. These examples include: `"do taller people tend to weigh more?"`, `"what's the relationship between the number of absences a student has and their final grade?"` and `"how does a country's GDP relate to the percent of the population that can read and write?"` Because they look at the relationship between two quantitative variables, these scatter plots are all considered relational plots.#### Visualizing subgroups---While looking at a relationship between two variables at a high level is often informative, sometimes we suspect that the relationship may be different within certain subgroups. In the last chapter, @sec-C1.3, we started to look at subgroups by using the `"hue"` parameter to visualize each subgroup using a different color on the same plot.#### Visualizing subgroups---In this lesson, we'll try out a different method: creating a separate plot per subgroup.#### Introducing relplot()---To do this, we're going to introduce a new Seaborn function: **`"relplot()"`**. **`"relplot()"`** stands for `"relational plot"` and enables you to visualize the relationship between two quantitative variables using either scatter plots or line plots. You've already seen scatter plots, and you'll learn about line plots later in this chapter. Using **`"relplot()"`** gives us a big advantage: the ability to create subplots in a single figure. Because of this advantage, we'll be using **`"relplot()"`** instead of **`"scatterplot()"`** for the rest of the course.#### scatterplot() vs. relplot()---Let's return to our scatter plot of total bill versus tip amount from the tips dataset. In the last lesson, @fig-tip1, we see how to create a scatter plot with the `"scatterplot"` function. To make it with `"relplot()"` instead, we change the function name to `"relplot()"` and use the `"kind"` parameter to specify what kind of relational plot to use - scatter plot or line plot. In this case, we'll set kind equal to the word `"scatter"`.```{python}#| label: fig-rel1#| fig-cap: "Total bill Vs Tip."# Import librariesimport seaborn as snsimport matplotlib.pyplot as plt# Load the built-in 'tips' datasetdf = sns.load_dataset("tips")# Change the scatterplot to relplotsns.relplot(x="total_bill", y="tip", data=df, kind="scatter")# Adjust layout and displayplt.show()```#### Subplots in columns---By setting "col" equal to "smoker", we get a separate scatter plot for smokers and non-smokers, arranged horizontally in columns.```{python}#| label: fig-rel2#| fig-cap: "Total bill Vs Tip by Smoking Status."# Import librariesimport seaborn as snsimport matplotlib.pyplot as plt# Load the built-in 'tips' datasetdf = sns.load_dataset("tips")# Change the scatterplot to relplotsns.relplot(x="total_bill", y="tip", data=df, kind="scatter", col ="smoker")# Adjust layout and displayplt.show()```#### Subplots in rows---If you want to arrange these vertically in rows instead, you can use the "row" parameter instead of "col".```{python}#| label: fig-rel3#| fig-cap: "Total bill Vs Tip by Smoking Status."# Import librariesimport seaborn as snsimport matplotlib.pyplot as plt# Load the built-in 'tips' datasetdf = sns.load_dataset("tips")# Change the scatterplot to relplotsns.relplot(x="total_bill", y="tip", data=df, kind="scatter", row ="smoker")# Adjust layout and displayplt.show()```#### Subplots in rows and columns---It is possible to use both `"col"` and `"row"` at the same time. Here, we set `"col"` equal to smoking status and `"row"` equal to the `time` of day (lunch or dinner). Now we have a subplot for each combination of these two categorical variables.```{python}#| label: fig-rel4.1#| fig-cap: "Total bill Vs Tip by Smoking Status and Time of the day."# Import librariesimport seaborn as snsimport matplotlib.pyplot as plt# Load the built-in 'tips' datasetdf = sns.load_dataset("tips")# Change the scatterplot to relplotsns.relplot(x="total_bill", y="tip", data=df, kind="scatter", col ="smoker", row ="time")# Adjust layout and displayplt.show()```#### Subgroups for days of the week---As another example, let's look at subgroups based on day of the week. There are four subplots here, which can be a lot to show in a single row. To address this, you can use the `"col_wrap"` parameter to specify how many subplots you want per row. Here, we set "col_wrap" equal to two plots per row.```{python}#| label: fig-rel4#| fig-cap: "Total bill Vs Tip by Smoking Status and Time of the day."# Import librariesimport seaborn as snsimport matplotlib.pyplot as plt# Load the built-in 'tips' datasetdf = sns.load_dataset("tips")sns.relplot( x="total_bill", y="tip", col="time", kind="scatter", data=df, col_wrap=2)# Adjust layout and displayplt.show()```#### Ordering columns---We can also change the order of the subplots by using the `"col_order"` and `"row_order"` parameters and giving it a list of ordered values.```{python}#| label: fig-rel5#| fig-cap: "Total bill Vs Tip by Smoking Status and Time of the day."# Import librariesimport seaborn as snsimport matplotlib.pyplot as plt# Load the built-in 'tips' datasetdf = sns.load_dataset("tips")sns.relplot(x="total_bill",y="tip",col="time", # facet columns by time of dayrow="smoker", # facet rows by smoking statuscol_order=["Dinner", "Lunch"], # order of time categoriesrow_order=["Yes", "No"], # order of smoking categorieskind="scatter",data=df,height=4,aspect=1.2)# Adjust layout and displayplt.show()```### Exercise 2.1---1. Change to use `relplot()` instead of `scatterplot()`.2. Modify the code to create one scatter plot for each level of the variable `"study_time"`, arranged in columns.3. Adapt your code to create one scatter plot for each level of a student's weekly study time, this time arranged in rows.4. Use `relplot()` to create a scatter plot with `"G1"` on the x-axis and `"G3"` on the y-axis, using the `student_data` DataFrame.5. Create column subplots based on whether the student received support from the school (`"schoolsup"`), ordered so that `"yes"` comes before `"no"`.6. Add row subplots based on whether the student received support from the family (`"famsup"`), ordered so that `"yes"` comes before `"no"`. This will result in subplots based on two factors.```{python}# Import packagesimport matplotlib.pyplot as pltimport seaborn as snsimport pandas as pd# Import datasetstudent_data = pd.read_csv('datasets/student-alcohol-consumption.csv')# Change to use relplot() instead of scatterplot()sns.relplot(x="absences", y="G3", data=student_data, kind="scatter")# Show plotplt.show()# Modify the code to create one scatter plot for each level of the variable "study_time", arranged in columns.sns.relplot(x="absences", y="G3", data=student_data, kind="scatter", col="study_time")# Show plotplt.show()# Adapt your code to create one scatter plot for each level of a student's weekly study time, this time arranged in rows.sns.relplot(x="absences", y="G3", data=student_data, kind="scatter", row="study_time")# Show plotplt.show()# Use relplot() to create a scatter plot with "G1" on the x-axis and "G3" on the y-axis, using the student_data DataFrame.sns.relplot(x="G1", y="G3", data=student_data, kind="scatter")# Show plotplt.show()# Create column subplots based on whether the student received support from the school ("schoolsup"), ordered so that "yes" comes before "no".sns.relplot(x="G1", y="G3", data=student_data, kind="scatter", col ="schoolsup", col_order=["yes", "no"])# Show plotplt.show()# Add row subplots based on whether the student received support from the family ("famsup"), ordered so that "yes" comes before "no". This will result in subplots based on two factors.sns.relplot(x="G1", y="G3", data=student_data, kind="scatter", col="schoolsup", col_order=["yes", "no"], row="famsup", row_order=["yes", "no"])# Show plotplt.show()```### Chapter 2.2: Customizing scatter plots {#sec-C2.2}---So far, we've only scratched the surface of what we're able to do with scatter plots in Seaborn.#### Scatter plot overview---As a reminder, scatter plots are a great tool for visualizing the relationship between two quantitative variables. We've seen a few ways to add more information to them as well, by creating subplots or plotting subgroups with different colored points. In addition to these, Seaborn allows you to add more information to scatter plots by varying the size, the style, and the transparency of the points. All of these options can be used in both the `"scatterplot()"` and `"relplot()"` functions, but we'll continue to use `"relplot()"` for the rest of the course since it's more flexible and allows us to create subplots. For the rest of this lesson, we'll use the tips dataset to learn how to use each customization and cover best practices for deciding which customizations to use.#### Subgroups with point size---The first customization we'll talk about is point size. Here, we're creating a scatter plot of total bill versus tip amount. We want each point on the scatter plot to be sized based on the number of people in the group, with larger groups having bigger points on the plot. To do this, we'll set the `"size"` parameter equal to the variable name `"size"` from our dataset. As this example demonstrates, varying point size is best used if the variable is either a quantitative variable or a categorical variable that represents different levels of something, like `"small"`, `"medium"`, and `"large"`. This plot is a bit hard to read because all of the points are of the same color.```{python}#| label: fig-rel7#| fig-cap: "Total bill Vs Tip by Size."# Import librariesimport seaborn as snsimport matplotlib.pyplot as plt# Load the built-in 'tips' datasetdf = sns.load_dataset("tips")# Change the scatterplot to relplotsns.relplot(x="total_bill", y="tip", data=df, kind="scatter", size ="size")# Adjust layout and displayplt.show()```#### Point size and hue---We can make it easier by using the `"size"` parameter in combination with the `"hue"` parameter. To do this, set `"hue"` equal to the variable name `"size"`. Notice that because `"size"` is a quantitative variable, Seaborn will automatically color the points different shades of the same color instead of different colors per category value like we saw in previous plots. Now larger groups have both larger and darker points, which provides better contrast and makes the plot easier to read.```{python}#| label: fig-rel8#| fig-cap: "Total bill Vs Tip by Size."# Import librariesimport seaborn as snsimport matplotlib.pyplot as plt# Load the built-in 'tips' datasetdf = sns.load_dataset("tips")# Change the scatterplot to relplotsns.relplot(x="total_bill", y="tip", data=df, kind="scatter", size ="size", hue ="size")# Adjust layout and displayplt.show()```#### Subgroups with point style---The next customization we'll look at is the point style. Setting the `"style"` parameter to a variable name will use different point styles for each value of the variable. Here's a scatter plot we've seen before, where we use `"hue"` to create different colored points based on smoking status. Setting `"style"` equal to `"smoker"` allows us to better distinguish these subgroups by plotting smokers with a different point style in addition to a different color.```{python}#| label: fig-rel9#| fig-cap: "Total bill Vs Tip by Size and Smoking Status."# Import librariesimport seaborn as snsimport matplotlib.pyplot as plt# Load the built-in 'tips' datasetdf = sns.load_dataset("tips")# Change the scatterplot to relplotsns.relplot(x="total_bill", y="tip", data=df, kind="scatter", size ="size", hue ="size",style ="smoker")# Adjust layout and displayplt.show()```#### Changing point transparency---The last customization we'll look at is point transparency. Setting the `"alpha"` parameter to a value between 0 and 1 will vary the transparency of the points in the plot, with 0 being completely transparent and 1 being completely non-transparent. Here, we've set `"alpha"` equal to 0.4. This customization can be useful when you have many overlapping points on the scatter plot, so you can see which areas of the plot have more or less observations.```{python}#| label: fig-rel10#| fig-cap: "Total bill Vs Tip by Size and Smoking Status."# Import librariesimport seaborn as snsimport matplotlib.pyplot as plt# Load the built-in 'tips' datasetdf = sns.load_dataset("tips")# Change the scatterplot to relplotsns.relplot(x="total_bill", y="tip", data=df, kind="scatter", size ="size", hue ="size",style ="smoker", alpha =0.4)# Adjust layout and displayplt.show()```### Exercise 2.2---1. Use `relplot()` and the `mpg` DataFrame to create a scatter plot with `"horsepower"` on the x-axis and `"mpg"` on the y-axis. Vary the size of the points by the number of cylinders in the car (`"cylinders"`).```{python}# Import packagesimport matplotlib.pyplot as pltimport seaborn as snsimport pandas as pd# Import datasetmpg = pd.read_csv("datasets/mpg.csv")# Create scatter plot of horsepower vs. mpgsns.relplot(x="horsepower", y="mpg", data=mpg, kind="scatter", size="cylinders")# Show plotplt.show()```2. To make this plot easier to read, use hue to vary the color of the points by the number of cylinders in the car (`"cylinders"`).```{python}# Import packagesimport matplotlib.pyplot as pltimport seaborn as snsimport pandas as pd# Import datasetmpg = pd.read_csv("datasets/mpg.csv")sns.relplot(x="horsepower", y="mpg", data=mpg, kind="scatter", size="cylinders", hue ="cylinders")# Show plotplt.show()```3. Use `relplot()` and the `mpg` DataFrame to create a scatter plot with `"acceleration"` on the x-axis and `"mpg"` on the y-axis. Vary the style and color of the plot points by country of origin (`"origin"`).```{python}# Import packagesimport matplotlib.pyplot as pltimport seaborn as snsimport pandas as pd# Import datasetmpg = pd.read_csv("datasets/mpg.csv")sns.relplot(x="acceleration", y="mpg", data=mpg, kind="scatter", style="origin", hue ="origin")# Show plotplt.show()```### Chapter 2.3: Introduction to line plots {#sec-C2.3}---Hello! In this lesson we'll dive into a new type of relational plot: line plots.#### What are line plots?---In Seaborn, we have two types of relational plots: scatter plots and line plots. While each point in a scatter plot is assumed to be an independent observation, line plots are the visualization of choice when we need to track the same thing over time. A common example is tracking the value of a company's stock over time, as shown here.#### Air pollution data---In this lesson, we'll be using data on the levels of air pollution in a city. There are many air collection stations around the city, each measuring the nitrogen dioxide level every hour for a single day. Long-term exposure to high levels of nitrogen dioxide can cause chronic lung diseases. Let's begin with the simple case where we have one data point per x-value. Here we have one row per hour over the course of the day with the average nitrogen dioxide level across all the stations in a column called `"NO_2_mean"`.```{python}# Import librariesimport pandas as pdimport numpy as npimport seaborn as snsimport matplotlib.pyplot as plt# Set random seed for reproducibilitynp.random.seed(42)# Define parametershours = np.arange(0, 24)locations = ["North", "South", "East", "West"]stations = ["Station_A", "Station_B", "Station_C"]# Generate synthetic NO₂ data for each location and stationdata = []for loc in locations:for st in stations: base = np.random.normal(loc=40, scale=5, size=24)if loc =="South": base +=5# slightly higher NO₂ levels in the South data.extend([(h, loc, st, v) for h, v inzip(hours, base)])# Create DataFramedf = pd.DataFrame(data, columns=["hour", "location", "station", "NO_2_mean"])# Display first few rowsprint(df.head())```#### Scatter plot---This is a scatter plot with the **average nitrogen dioxide (NO₂) level** on the y-axis and the **hour of the day** on the x-axis. Although scatter plots are useful for showing relationships between two variables, we’re tracking the *same variable over time*. Therefore, a **line plot** is a better choice for visualizing this pattern clearly.```{python}#| label: fig-no2-line#| fig-cap: "Average Nitrogen Dioxide (NO₂) Levels by Hour of the Day."# Import librariesimport pandas as pdimport numpy as npimport seaborn as snsimport matplotlib.pyplot as plt# Set random seed for reproducibilitynp.random.seed(42)# Define parametershours = np.arange(0, 24)locations = ["North", "South", "East", "West"]stations = ["Station_A", "Station_B", "Station_C"]# Generate synthetic NO₂ data for each location and stationdata = []for loc in locations:for st in stations: base = np.random.normal(loc=40, scale=5, size=24)if loc =="South": base +=5# slightly higher NO₂ levels in the South data.extend([(h, loc, st, v) for h, v inzip(hours, base)])# Create DataFramedf = pd.DataFrame(data, columns=["hour", "location", "station", "NO_2_mean"])# Create scatter plot (less ideal for time-based data)sns.relplot(x="hour", y="NO_2_mean", data=df, kind ="scatter", color="steelblue")plt.show()```#### Line plot---By specifying `"kind"` equals `"line"`, we can create a line plot and more easily see how the average nitrogen dioxide level fluctuates throughout the day.```{python}#| label: fig-no2-line-better0#| fig-cap: "Average Nitrogen Dioxide (NO₂) Levels by Hour — Line Plot."# Import librariesimport pandas as pdimport numpy as npimport seaborn as snsimport matplotlib.pyplot as plt# Set random seed for reproducibilitynp.random.seed(42)# Define parametershours = np.arange(0, 24)locations = ["North", "South", "East", "West"]stations = ["Station_A", "Station_B", "Station_C"]# Generate synthetic NO₂ data for each location and stationdata = []for loc in locations:for st in stations: base = np.random.normal(loc=40, scale=5, size=24)if loc =="South": base +=5# slightly higher NO₂ levels in the South data.extend([(h, loc, st, v) for h, v inzip(hours, base)])# Create DataFramedf = pd.DataFrame(data, columns=["hour", "location", "station", "NO_2_mean"])sns.relplot(x="hour", y="NO_2_mean", data=df, kind="line", color="firebrick")plt.show()```#### Subgroups by location---We can also track subgroups over time with line plots. Here we have the average nitrogen dioxide level for each region (North, South, East, and West) for each hour in the day. Setting the `"style"` and `"hue"` parameters equal to the variable name `"location"` creates different lines for each region that vary in both line style and color. Here, we can see that the South region tends to have slightly higher average nitrogen dioxide levels compared to the other regions.```{python}#| label: fig-no2-line-better1#| fig-cap: "Average Nitrogen Dioxide (NO₂) Levels by Hour and Region."# Import librariesimport pandas as pdimport numpy as npimport seaborn as snsimport matplotlib.pyplot as plt# Set random seed for reproducibilitynp.random.seed(42)# Define parametershours = np.arange(0, 24)locations = ["North", "South", "East", "West"]stations = ["Station_A", "Station_B", "Station_C"]# Generate synthetic NO₂ data for each location and stationdata = []for loc in locations:for st in stations: base = np.random.normal(loc=40, scale=5, size=24)if loc =="South": base +=5# slightly higher NO₂ levels in the South data.extend([(h, loc, st, v) for h, v inzip(hours, base)])# Create DataFramedf = pd.DataFrame(data, columns=["hour", "location", "station", "NO_2_mean"])# Create line plot showing subgroup trends over timesns.relplot( x="hour", y="NO_2_mean", kind="line", hue="location", style="location", markers=True, dashes=False, data=df)# Add title and labelsplt.title("Average Nitrogen Dioxide (NO₂) Levels by Hour and Region", fontsize=13)plt.xlabel("Hour of the Day")plt.ylabel("NO₂ Mean (ppb)")# Show the plotplt.show()```#### Adding markers---Setting the `"markers"` parameter equal to `"True"` will display a marker for each data point. The marker will vary based on the subgroup you've set using the `"style"` parameter.```{python}#| label: fig-no2-line-better2#| fig-cap: "Average Nitrogen Dioxide (NO₂) Levels by Hour and Region."# Import librariesimport pandas as pdimport numpy as npimport seaborn as snsimport matplotlib.pyplot as plt# Set random seed for reproducibilitynp.random.seed(42)# Define parametershours = np.arange(0, 24)locations = ["North", "South", "East", "West"]stations = ["Station_A", "Station_B", "Station_C"]# Generate synthetic NO₂ data for each location and stationdata = []for loc in locations:for st in stations: base = np.random.normal(loc=40, scale=5, size=24)if loc =="South": base +=5# slightly higher NO₂ levels in the South data.extend([(h, loc, st, v) for h, v inzip(hours, base)])# Create DataFramedf = pd.DataFrame(data, columns=["hour", "location", "station", "NO_2_mean"])# Create line plot showing subgroup trends over timesns.relplot( x="hour", y="NO_2_mean", kind="line", hue="location", style="location", markers=True, # Add markers for each data point data=df)# Add title and axis labelsplt.title("Average Nitrogen Dioxide (NO₂) Levels by Hour and Region", fontsize=13)plt.xlabel("Hour of the Day")plt.ylabel("NO₂ Mean (ppb)")# Display the plotplt.show()```#### Turning off line style---If you don't want the line styles to vary by subgroup, set the `"dashes"` parameter equal to `"False"`.```{python}#| label: fig-no2-line-better3#| fig-cap: "Average Nitrogen Dioxide (NO₂) Levels by Hour and Region."# Import librariesimport pandas as pdimport numpy as npimport seaborn as snsimport matplotlib.pyplot as plt# Set random seed for reproducibilitynp.random.seed(42)# Define parametershours = np.arange(0, 24)locations = ["North", "South", "East", "West"]stations = ["Station_A", "Station_B", "Station_C"]# Generate synthetic NO₂ data for each location and stationdata = []for loc in locations:for st in stations: base = np.random.normal(loc=40, scale=5, size=24)if loc =="South": base +=5# slightly higher NO₂ levels in the South data.extend([(h, loc, st, v) for h, v inzip(hours, base)])# Create DataFramedf = pd.DataFrame(data, columns=["hour", "location", "station", "NO_2_mean"])# Create line plot showing subgroup trends over timesns.relplot( x="hour", y="NO_2_mean", kind="line", hue="location", style="location", markers=True, # Add markers for each data point dashes=False, # Disable dashed lines for clarity data=df)# Add title and axis labelsplt.title("Average Nitrogen Dioxide (NO₂) Levels by Hour and Region", fontsize=13)plt.xlabel("Hour of the Day")plt.ylabel("NO₂ Mean (ppb)")# Display the plotplt.show()```#### Multiple observations per x-value---Line plots can also be used when you have more than one observation per x-value. This dataset has a row for each station that is taking a measurement every hour. This is the scatter plot, displaying one point per observation. This is the line plot. If a line plot is given multiple observations per x-value, it will aggregate them into a single summary measure. By default, it will display the mean. Notice that Seaborn will automatically calculate a confidence interval for the mean, displayed by the shaded region. Assuming the air collection stations were randomly placed throughout the city, this dataset is a random sample of the nitrogen dioxide levels across the whole city. This confidence interval tells us that based on our sample, we can be 95% confident that the average nitrogen dioxide level for the whole city is within this range. Confidence intervals indicate the uncertainty we have about what the true mean is for the whole city. To learn more about confidence intervals, you can check out DataCamp's statistics courses.#### Replacing confidence interval with standard deviation---Instead of visualizing a confidence interval, we may want to see how varied the measurements of nitrogen dioxide are across the different collection stations at a given point in time. To visualize this, set the `"ci"` parameter equal to the string `"sd"` to make the shaded area represent the standard deviation, which shows the spread of the distribution of observations at each x value.```{python}#| label: fig-no2-line-better4#| fig-cap: "Average Nitrogen Dioxide (NO₂) Levels by Hour and Region."# Import librariesimport pandas as pdimport numpy as npimport seaborn as snsimport matplotlib.pyplot as plt# Set random seed for reproducibilitynp.random.seed(42)# Define parametershours = np.arange(0, 24)locations = ["North", "South", "East", "West"]stations = ["Station_A", "Station_B", "Station_C"]# Generate synthetic NO₂ data for each location and stationdata = []for loc in locations:for st in stations: base = np.random.normal(loc=40, scale=5, size=24)if loc =="South": base +=5# slightly higher NO₂ levels in the South data.extend([(h, loc, st, v) for h, v inzip(hours, base)])# Create DataFramedf = pd.DataFrame(data, columns=["hour", "location", "station", "NO_2_mean"])# Create line plot showing subgroup trends over timesns.relplot( x="hour", y="NO_2_mean", kind="line", hue="location", style="location", markers=True, # Add markers for each data point dashes=False, # Disable dashed lines for clarity data=df, ci ="sd")# Add title and axis labelsplt.title("Average Nitrogen Dioxide (NO₂) Levels by Hour and Region", fontsize=13)plt.xlabel("Hour of the Day")plt.ylabel("NO₂ Mean (ppb)")# Display the plotplt.show()```#### Turning off confidence interval---We can also turn off the confidence interval by setting the "ci" parameter equal to `"None"` for old version of seaborn, but `"errorbar"` parameter to `None`, with newer versions of seaborn.```{python}#| label: fig-no2-line-better5#| fig-cap: "Average Nitrogen Dioxide (NO₂) Levels by Hour and Region."# Import librariesimport pandas as pdimport numpy as npimport seaborn as snsimport matplotlib.pyplot as plt# Set random seed for reproducibilitynp.random.seed(42)# Define parametershours = np.arange(0, 24)locations = ["North", "South", "East", "West"]stations = ["Station_A", "Station_B", "Station_C"]# Generate synthetic NO₂ data for each location and stationdata = []for loc in locations:for st in stations: base = np.random.normal(loc=40, scale=5, size=24)if loc =="South": base +=5# slightly higher NO₂ levels in the South data.extend([(h, loc, st, v) for h, v inzip(hours, base)])# Create DataFramedf = pd.DataFrame(data, columns=["hour", "location", "station", "NO_2_mean"])# Create line plot showing subgroup trends over timesns.relplot( x="hour", y="NO_2_mean", kind="line", hue="location", style="location", markers=True, # Add markers for each data point dashes=False, # Disable dashed lines for clarity data=df, errorbar=None)# Add title and axis labelsplt.title("Average Nitrogen Dioxide (NO₂) Levels by Hour and Region", fontsize=13)plt.xlabel("Hour of the Day")plt.ylabel("NO₂ Mean (ppb)")# Display the plotplt.show()```### Exercise 2.3---1. Use `relplot()` and the mpg DataFrame to create a line plot with `"model_year"` on the x-axis and `"mpg"` on the y-axis.```{python}# Import Matplotlib and Seabornimport matplotlib.pyplot as pltimport seaborn as snsimport pandas as pd# Import datasetmpg = pd.read_csv("datasets/mpg.csv")# Create line plotsns.relplot(x="model_year", y="mpg", data=mpg, kind="line")# Show plotplt.show()```2. Change the plot so the shaded area shows the standard deviation instead of the confidence interval for the mean.```{python}# Import Matplotlib and Seabornimport matplotlib.pyplot as pltimport seaborn as snsimport pandas as pd# Import datasetmpg = pd.read_csv("datasets/mpg.csv")sns.relplot(x="model_year", y="mpg", data=mpg, kind="line", ci="sd")# Show plotplt.show()```3. Use `relplot()` and the mpg DataFrame to create a line plot with `"model_year"` on the x-axis and `"horsepower"` on the y-axis. Turn off the confidence intervals on the plot.```{python}# Import Matplotlib and Seabornimport matplotlib.pyplot as pltimport seaborn as snsimport pandas as pd# Import datasetmpg = pd.read_csv("datasets/mpg.csv")sns.relplot(x="model_year", y="horsepower", data=mpg, kind="line", errorbar=None)# Show plotplt.show()```4. Create different lines for each country of origin (`"origin"`) that vary in both line style and color.```{python}# Import Matplotlib and Seabornimport matplotlib.pyplot as pltimport seaborn as snsimport pandas as pd# Import datasetmpg = pd.read_csv("datasets/mpg.csv")sns.relplot(x="model_year", y="horsepower", data=mpg, kind="line", errorbar=None, style="origin", hue="origin")# Show plotplt.show()```5. Add markers for each data point to the lines.6. Use the dashes parameter to use solid lines for all countries, while still allowing for different marker styles for each line.```{python}# Import Matplotlib and Seabornimport matplotlib.pyplot as pltimport seaborn as snsimport pandas as pd# Import datasetmpg = pd.read_csv("datasets/mpg.csv")sns.relplot(x="model_year", y="horsepower", data=mpg, kind="line", errorbar=None, style="origin", hue="origin", markers=True, dashes=False)# Show plotplt.show()```### Chapter 3: Count plots and bar plots {#sec-C3}---Welcome to Chapter 3! In this chapter, we'll focus on visualizations that involve categorical variables. The first two plots we'll look at are count plots and bar plots.#### Categorical plots---Count plots and bar plots are two types of visualizations that Seaborn calls "categorical plots". Categorical plots involve a categorical variable, which is a variable that consists of a fixed, typically small number of possible values, or categories. These types of plots are commonly used when we want to make comparisons between different groups. We began to explore categorical plots in Chapter 1 with count plots. As a reminder, a count plot displays the number of observations in each category. We saw several examples of count plots in earlier chapters, @sec-C1, @sec-C1.2, like the number of men reporting that they feel masculine. Most men surveyed here feel` "somewhat"` or `"very"` masculine.#### catplot()---Just like we used `"relplot()"` to create different types of relational plots, in this chapter we'll be using `"catplot()"` to create different types of categorical plots. `"catplot()"` offers the same flexibility that `"relplot()"` does, which means it will be easy to create subplots if we need to using the same `"col"` and `"row"` parameters.#### countplot() vs. catplot()---To see how `"catplot()"` works, let's return to the masculinity count plot. On the left, we see how we originally created a count plot with the `"countplot()"` function.#### countplot() vs. catplot()---To make this plot with `"catplot()"` instead, we change the function name to `"catplot()"` and use the `"kind"` parameter to specify what kind of categorical plot to use. In this case, we'll set kind equal to the word `"count"`.```{python}#| label: fig-catplot-count#| fig-cap: "Count of Masculinity Responses Using catplot()."# Import librariesimport seaborn as snsimport matplotlib.pyplot as pltmasculinity = {'participant_id': list(range(1, 21)),'age': [35, 42, 29, 51, 37, 30, 45, 55, 25, 33, 40, 48, 28, 39, 47, 53, 26, 34, 43, 50],'how_masculine': ['very', 'somewhat', 'very', 'not at all', 'somewhat', 'very', 'somewhat', 'very', 'not at all', 'somewhat', 'very', 'somewhat', 'very', 'not at all', 'somewhat', 'very', 'somewhat', 'very', 'not at all', 'somewhat'],'how_important': ['very', 'somewhat', 'not very', 'somewhat', 'very', 'very', 'somewhat', 'not very', 'somewhat', 'very', 'very', 'somewhat', 'not very', 'somewhat', 'very', 'very', 'somewhat', 'not very', 'somewhat', 'very']}# Create the DataFramedf = pd.DataFrame(masculinity)# Create count plot using catplotsns.catplot( x="how_masculine", # categorical variable data=df, kind="count"# specify type of plot)plt.show()```#### Changing the order---Sometimes there is a specific ordering of categories that makes sense for these plots. In this case, it makes more sense for the categories to be in order from not masculine to very masculine. To change the order of the categories, create a list of category values in the order that you want them to appear, and then use the `"order"` parameter. This works for all types of categorical plots, not just count plots.```{python}#| label: fig-catplot-order#| fig-cap: "Count of Masculinity Responses Ordered from 'Not at All' to 'Very'."# Import librariesimport seaborn as snsimport matplotlib.pyplot as pltmasculinity = {'participant_id': list(range(1, 21)),'age': [35, 42, 29, 51, 37, 30, 45, 55, 25, 33, 40, 48, 28, 39, 47, 53, 26, 34, 43, 50],'how_masculine': ['very', 'somewhat', 'very', 'not at all', 'somewhat', 'very', 'somewhat', 'very', 'not at all', 'somewhat', 'very', 'somewhat', 'very', 'not at all', 'somewhat', 'very', 'somewhat', 'very', 'not at all', 'somewhat'],'how_important': ['very', 'somewhat', 'not very', 'somewhat', 'very', 'very', 'somewhat', 'not very', 'somewhat', 'very', 'very', 'somewhat', 'not very', 'somewhat', 'very', 'very', 'somewhat', 'not very', 'somewhat', 'very']}# Create the DataFramedf = pd.DataFrame(masculinity)# Define custom order for the categoriesmasculine_order = ["not at all", "somewhat", "very"]# Create ordered count plotsns.catplot(x="how_masculine",data=df,kind="count",order=masculine_order # specify the category order)plt.show()```#### Bar plots---Bar plots look similar to count plots, but instead of the count of observations in each category, they show the mean of a quantitative variable among observations in each category. This bar plot uses the tips dataset and shows the average bill paid among people who visited the restaurant on each day of the week. From this, we can see that the average bill is slightly higher on the weekends. To create this bar plot, we use `"catplot"`. Specify the categorical variable `"day"` on the x-axis, the quantitative variable `"total bill"` on the y-axis, and set the `"kind"` parameter equal to `"bar"`.```{python}#| label: fig-catplot-bar#| fig-cap: "Average Total Bill by Day of Week (Tips Dataset)."# Import librariesimport seaborn as snsimport matplotlib.pyplot as plt# Load Seaborn's 'tips' datasettips = sns.load_dataset("tips")# Create bar plot using catplotsns.catplot(x="day",y="total_bill",data=tips,kind="bar", # specify bar plotpalette="pastel")plt.show()```#### Confidence intervals---Notice also that Seaborn automatically shows 95% confidence intervals for these means. Just like with line plots, these confidence intervals show us the level of uncertainty we have about these estimates. Assuming our data is a random sample of some population, we can be 95% sure that the true population mean in each group lies within the confidence interval shown.#### Turning off confidence intervals---If we want to turn off these confidence intervals, we can do this by setting the `"errorbar"` parameter equal to `"None"` - just like we did with line plots.```{python}#| label: fig-catplot-bar1#| fig-cap: "Average Total Bill by Day of Week (Tips Dataset)."# Import librariesimport seaborn as snsimport matplotlib.pyplot as plt# Load Seaborn's 'tips' datasettips = sns.load_dataset("tips")# Create bar plot using catplotsns.catplot(x="day",y="total_bill",data=tips,kind="bar", # specify bar ploterrorbar =None)plt.show()```#### Changing the orientation---Finally, you can also change the orientation of the bars in bar plots and count plots by switching the x and y parameters. However, it is fairly common practice to put the categorical variable on the x-axis.```{python}#| label: fig-catplot-bar2#| fig-cap: "Average Total Bill by Day of Week (Tips Dataset)."# Import librariesimport seaborn as snsimport matplotlib.pyplot as plt# Load Seaborn's 'tips' datasettips = sns.load_dataset("tips")# Create bar plot using catplotsns.catplot(x="total_bill",y="day",data=tips,kind="bar", # specify bar ploterrorbar =None)plt.show()```### Exercise 3.1---1. Use `sns.catplot()` to create a count plot using the `survey_data` DataFrame with `"Internet usage"` on the x-axis.```{python}# Import packagesimport matplotlib.pyplot as pltimport seaborn as snsimport pandas as pd# Import datasetsurvey_data = pd.read_csv('datasets/young-people-survey-responses.csv')sns.catplot(x="Internet usage", data=survey_data, kind="count")# Show plotplt.show()```2. Make the bars horizontal instead of vertical.```{python}# Import packagesimport matplotlib.pyplot as pltimport seaborn as snsimport pandas as pd# Import datasetsurvey_data = pd.read_csv('datasets/young-people-survey-responses.csv')sns.catplot(y="Internet usage", data=survey_data, kind="count")# Show plotplt.show()```3. Separate this plot into two side-by-side column subplots based on `"Age Category"`, which separates respondents into those that are younger than 21 vs. 21 and older.```{python}# Import packagesimport matplotlib.pyplot as pltimport seaborn as snsimport pandas as pd# Import datasetsurvey_data = pd.read_csv('datasets/young-people-survey-responses.csv')# Create Age Category groupsbins = [10, 18, 25, 35, 50, 70]labels = ["Teen", "18–25", "26–35", "36–50", "50+"]survey_data["Age Category"] = pd.cut(survey_data["Age"], bins=bins, labels=labels, right=False)sns.catplot( x="Internet usage", data=survey_data, kind="count", col="Age Category")# Show plotplt.show()```4. Bar plots with percentages. Use the survey_data DataFrame and `sns.catplot()` to create a bar plot with `"Gender"` on the x-axis and `"Mathematics"` on the y-axis, which signifies, students with interest in mathematics.```{python}# Import packagesimport matplotlib.pyplot as pltimport seaborn as snsimport pandas as pd# Import datasetsurvey_data = pd.read_csv('datasets/young-people-survey-responses.csv')sns.catplot(x="Gender", y="Mathematics", data=survey_data, kind="bar")# Show plotplt.show()```5. Use `sns.catplot()` to create a bar plot with `"study_time"` on the x-axis and final grade (`"G3"`) on the y-axis, using the `student_data` DataFrame.```{python}# Import packagesimport matplotlib.pyplot as pltimport seaborn as snsimport pandas as pd# Import datasetstudent_data = pd.read_csv('datasets/student-alcohol-consumption.csv')sns.catplot(x="study_time", y="G3", data=student_data, kind="bar")# Show plotplt.show()```6. Using the order parameter and the `category_order` list that is provided, rearrange the bars so that they are in order from lowest study time to highest.```{python}# Import packagesimport matplotlib.pyplot as pltimport seaborn as snsimport pandas as pd# Import datasetstudent_data = pd.read_csv('datasets/student-alcohol-consumption.csv')category_order = ["<2 hours", "2 to 5 hours", "5 to 10 hours", ">10 hours"]# Rearrange the categoriessns.catplot(x="study_time", y="G3", data=student_data, kind="bar", order=category_order)# Show plotplt.show()```7. Update the plot so that it no longer displays confidence intervals.```{python}# Import packagesimport matplotlib.pyplot as pltimport seaborn as snsimport pandas as pd# Import datasetstudent_data = pd.read_csv('datasets/student-alcohol-consumption.csv')sns.catplot(x="study_time", y="G3", data=student_data, kind="bar", order=category_order, errorbar=None)# Show plotplt.show()```### Chapter 4: Creating a box plot {#sec-C4}---Hello! In this chapter we'll learn how to create a new type of categorical plot: the box plot.#### What is a box plot?---A box plot shows the **distribution of quantitative data**. The colored box represents the **25th to 75th percentile (interquartile range)**, and the line inside the box shows the **median**. The **whiskers** extend to give a sense of the overall spread, while **dots** beyond the whiskers represent **outliers**. Box plots are powerful for comparing distributions of a quantitative variable across different categories. In this example, the box plot uses the **tips dataset** to compare the distribution of **total bill amounts** across the **days of the week**. From this visualization, we can quickly see that the **median total bill is higher on Saturday and Sunday**, but the **spread of the distribution** is also wider — something that’s harder to see with simpler plot types.```{python}#| label: fig-boxplot-tips#| fig-cap: "Distribution of Total Bill Amounts by Day (Tips Dataset)."# Load Seaborn's 'tips' datasettips = sns.load_dataset("tips")# Create a box plot using catplotsns.catplot( x="day", y="total_bill", data=tips, kind="box", palette="pastel")plt.show()```#### How to create a box plot---Now let's look at how to create a box plot in Seaborn. While Seaborn does have a `"boxplot()"` function, we'll be using the `"catplot()"` function that we introduced in an earlier lesson because it makes it easy to create subplots using the `"col"` and `"row"` parameters. We'll put the categorical variable `"time"` on the x-axis and the quantitative variable `"total bill"` on the y-axis. Here, we want box plots, so we'll specify `kind="box"`. That's it! We have a nice looking box plot. Next, we'll look at different ways to customize this plot.```{python}#| label: fig-boxplot-tips0#| fig-cap: "Distribution of Total Bill Amounts by Time (Tips Dataset)."# Load Seaborn's 'tips' datasettips = sns.load_dataset("tips")# Create a box plot using catplotsns.catplot( x="time", y="total_bill", data=tips, kind="box")plt.show()```#### Change the order of categories---As a reminder, `"catplot"` allows you to change the order of the categories using the `"order"` parameter. Here, we specified that `"dinner"` should be shown before "lunch".```{python}#| label: fig-boxplot-tips1#| fig-cap: "Distribution of Total Bill Amounts by Time Order By Time (Tips Dataset)."# Load Seaborn's 'tips' datasettips = sns.load_dataset("tips")# Create a box plot using catplotsns.catplot( x="time", y="total_bill", data=tips, kind="box", order = ["Dinner", "Lunch"])plt.show()```#### Omitting the outliers using `sym`---Occasionally, you may want to omit the outliers from your box plot. You can do this using the `"sym"` parameter. If you pass an empty string into `"sym"`, it will omit the outliers from your plot altogether. `"Sym"` can also be used to change the appearance of the outliers instead of omitting them.::: {.callout-note title="Fixing the TypeError in Seaborn Box Plot"}The error occurs because the `sym` argument — which controls outlier symbols — is **not supported** in `sns.catplot(kind="box")` in recent versions of Seaborn. The `sym` parameter only works with **`sns.boxplot()`**, not with the higher-level `catplot()`. In addition, In **older versions of Seaborn (< 0.12)**, you could write:```pythonsns.boxplot(..., sym="")```to hide outlier points (“fliers”).However, starting from Seaborn 0.12+, the library underwent a full internal refactor (to unify plotting with the new object-oriented API).➡️ As a result, the `sym` parameter was removed and replaced with `fliersize`.```{python}#| label: fig-boxplot-no-outliers#| fig-cap: "Box plot of total bill by meal time (outliers hidden)."import seaborn as snsimport matplotlib.pyplot as plt# Load Seaborn's 'tips' datasettips = sns.load_dataset("tips")# Correct usage: replace 'sym' with 'fliersize=0'sns.boxplot( x="time", y="total_bill", data=tips, order=["Dinner", "Lunch"], fliersize=0# hides outlier markers)plt.show()```If you want to hide outlier points in a `catplot()`, use the `fliersize=0` argument instead. ✅ **Corrected Code:**```{python}#| label: fig-boxplot-no-fliers#| fig-cap: "Box plot of total bill by meal time (outliers hidden)."import seaborn as snsimport matplotlib.pyplot as plt# Load datasettips = sns.load_dataset("tips")# Correct approach: use fliersize=0 to hide outliers in catplotsns.catplot( x="time", y="total_bill", data=tips, kind="box", order=["Dinner", "Lunch"], fliersize=0# hides outlier markers)plt.title("Box Plot of Total Bill by Meal Time")plt.show()```:::```{python}#| label: fig-boxplot-tips2#| fig-cap: "Distribution of Total Bill Amounts by Time Order By Time (Tips Dataset)."# Load Seaborn's 'tips' datasettips = sns.load_dataset("tips")# Create a box plot using catplotsns.catplot( x="time", y="total_bill", data=tips, kind="box", order = ["Dinner", "Lunch"], fliersize=0)plt.show()```#### Changing the whiskers using `whis`---By default, the whiskers extend to 1.5 times the interquartile range, or `"IQR"`. The IQR is the 25th to the 75th percentile of a distribution of data. If you want to change the way the whiskers in your box plot are defined, you can do this using the `"whis"` parameter. There are several options for changing the whiskers. You can change the range of the whiskers from 1.5 times the IQR (which is the default) to 2 times the IQR by setting `"whis"` equal to 2.0. Alternatively, you can have the whiskers define specific lower and upper percentiles by passing in a list of the lower and upper values. In this example, passing in `"[5, 95]"` will result in the lower whisker being drawn at the 5th percentile and the upper whisker being drawn at the 95th percentile. Finally, you may just want to draw the whiskers at the min and max values. You can do this by specifying the lower percentile as 0 and the upper percentile as 100.##### Option 1: Whiskers at 2.0 × IQR```{python}#| label: fig-boxplot-tips3#| fig-cap: "Distribution of Total Bill Amounts by Time Order By Time with whiskers at 2.0 x IQR."# Load Seaborn's 'tips' datasettips = sns.load_dataset("tips")# Create a box plot using catplot, with whiskers at 2.0 x IQRsns.catplot( x="time", y="total_bill", data=tips, kind="box", order=["Dinner", "Lunch"], whis=2.0)plt.show()```##### Option 2: Whiskers at 5th and 95th Percentiles```{python}#| label: fig-boxplot-tips4#| fig-cap: "Distribution of Total Bill Amounts by Time Order By Time with Whiskers at 5th and 95th Percentiles."# Load Seaborn's 'tips' datasettips = sns.load_dataset("tips")# Create a box plot using catplot, with whiskers at 5th and 95th Percentilessns.catplot( x="time", y="total_bill", data=tips, kind="box", order=["Dinner", "Lunch"], whis=[5, 95])plt.show()```#### Changing the whiskers using `whis`---Here's an example where the whiskers are set to the min and max values. Note that there are no outliers, because the box and whiskers cover the entire range of the data.```{python}#| label: fig-boxplot-tips5#| fig-cap: "Distribution of Total Bill Amounts by Time Order By Time with Whiskers at Min and Max (0th and 100th Percentiles)."# Load Seaborn's 'tips' datasettips = sns.load_dataset("tips")# Create a box plot using catplot, with whiskers at Min and Max (0th and 100th Percentiles)sns.catplot( x="time", y="total_bill", data=tips, kind="box", order=["Dinner", "Lunch"], whis=[0, 100])plt.show()```### Exercise 4---1. Use `sns.catplot()` to create a box plot with the `student_data` DataFrame, putting `"study_time"` on the x-axis and `"G3"` on the y-axis.. Specify the category ordering, using this template, **`study_time_order = ["<2 hours", "2 to 5 hours", "5 to 10 hours", ">10 hours"]`**.```{python}# Import packagesimport matplotlib.pyplot as pltimport seaborn as snsimport pandas as pd# Import datasetstudent_data = pd.read_csv('datasets/student-alcohol-consumption.csv')# Specify the category orderingstudy_time_order = ["<2 hours", "2 to 5 hours", "5 to 10 hours", ">10 hours"]# Create a box plot and set the order of the categoriessns.catplot(x="study_time", y="G3", data=student_data, kind="box", order=study_time_order)# Show plotplt.show()```2. Use `sns.catplot()` to create a box plot with the `student_data` DataFrame, putting `"internet"` on the x-axis and `"G3"` on the y-axis. Add subgroups so each box plot is colored based on `"location"`. Do not display the outliers.```{python}# Import packagesimport matplotlib.pyplot as pltimport seaborn as snsimport pandas as pd# Import datasetstudent_data = pd.read_csv('datasets/student-alcohol-consumption.csv')# SOLUTIONsns.catplot(x="internet", y="G3", data=student_data, kind="box", hue="location", fliersize=0)# Show plotplt.show()```3. Use `sns.catplot()` to create a box plot with the `student_data` DataFrame, putting `"romantic"` on the x-axis and `"G3"` on the y-axis. Adjust the code to make the box plot whiskers to extend to **`0.5 * IQR`**. Recall: the IQR is the interquartile range.```{python}# Import packagesimport matplotlib.pyplot as pltimport seaborn as snsimport pandas as pd# Import datasetstudent_data = pd.read_csv('datasets/student-alcohol-consumption.csv')# Change the code to set the whiskers to extend to the 5th and 95th percentiles.sns.catplot(x="romantic", y="G3", data=student_data, kind="box", whis=[5, 95])# Show plotplt.show()```4. Change the code to set the whiskers to extend to the min and max values.```{python}# Import packagesimport matplotlib.pyplot as pltimport seaborn as snsimport pandas as pd# Import datasetstudent_data = pd.read_csv('datasets/student-alcohol-consumption.csv')# Change the code to set the whiskers to extend to the min and max values.sns.catplot(x="romantic", y="G3", data=student_data, kind="box", whis=[0, 100])# Show plotplt.show()```### Chapter 4.1: Point plots {#sec-C4.1}---Welcome! So far we've seen several types of categorical plots including count plots, bar plots, and box plots. In this lesson, we'll see one final categorical plot: point plots.#### What are point plots?---Point plots show the **mean of a quantitative variable** for the observations in each category, displayed as a single point. This point plot uses the **tips dataset** and compares the **average total bill** between **smokers** and **non-smokers**. The **vertical bars** extending above and below each point represent the **95% confidence intervals** for the mean. Just like the confidence intervals we saw in **line plots** and **bar plots**, they show the **uncertainty** in our mean estimates. Assuming the data is a random sample from a larger population, we can be 95% confident that the **true population mean** for each group lies within the interval shown.```{python}#| label: fig-pointplot-tips#| fig-cap: "Average Total Bill by Smoking Status (Tips Dataset)."# Load Seaborn's 'tips' datasettips = sns.load_dataset("tips")# Create point plot using catplotsns.catplot( x="smoker", y="total_bill", data=tips, kind="point")plt.show()```#### Point plots vs. line plots---You may be thinking: point plots look a lot like line plots. What's the difference?Both line plots and point plots show the mean of a quantitative variable and 95% confidence intervals for the mean. However, there is a key difference. Line plots are relational plots, so both the x- and y-axis are quantitative variables. In a point plot, one axis - usually the x-axis - is a categorical variable, making it a categorical plot.#### Point plots vs. bar plots---You may also be thinking: point plots seem to show the same information as bar plots. For each category, both show the mean of a quantitative variable and the confidence intervals for those means. When should we use one over the other? Let's look at an example using data from the masculinity survey that we've seen in prior lessons @sec-C1.3 and @fig-catplot-order.This bar plot shows the **percent of men per age group** who report thinking that it’s important that others see them as masculine, with subgroups based on whether they report **feeling masculine or not**. The **point plot** below displays the same data in a different form. In the point plot, it’s easier to compare the heights of subgroup points when they’re stacked above each other and to see differences in slope between categories — a clearer way to observe how perceptions change across age groups.```{python}#| label: fig-masculinity-point-bar#| fig-cap: "Importance of Being Seen as Masculine by Age Group and Self-Perception."import pandas as pdimport seaborn as snsimport matplotlib.pyplot as plt# Original datamasculinity = {'participant_id': list(range(1, 21)),'age': [35, 42, 29, 51, 37, 30, 45, 55, 25, 33, 40, 48, 28, 39, 47, 53, 26, 34, 43, 50],'how_masculine': ['very', 'somewhat', 'very', 'not at all', 'somewhat', 'very', 'somewhat', 'very','not at all', 'somewhat', 'very', 'somewhat', 'very', 'not at all', 'somewhat','very', 'somewhat', 'very', 'not at all', 'somewhat'],'how_important': ['very', 'somewhat', 'not very', 'somewhat', 'very', 'very', 'somewhat', 'not very','somewhat', 'very', 'very', 'somewhat', 'not very', 'somewhat', 'very', 'very','somewhat', 'not very', 'somewhat', 'very']}df = pd.DataFrame(masculinity)# Create age groupsbins = [20, 30, 40, 50, 60]labels = ['21–30', '31–40', '41–50', '51–60']df['age_group'] = pd.cut(df['age'], bins=bins, labels=labels, right=False)# Compute % of "very" or "somewhat" important by age group & masculinitydf['important_binary'] = df['how_important'].isin(['very', 'somewhat']).astype(int)summary = ( df.groupby(['age_group', 'how_masculine'])['important_binary'] .mean() .reset_index(name='percent_important'))summary['percent_important'] *=100# --- BAR PLOT ---sns.catplot( x="age_group", y="percent_important", hue="how_masculine", data=summary, kind="bar")plt.show()# --- POINT PLOT ---sns.catplot( x="age_group", y="percent_important", hue="how_masculine", data=summary, kind="point", markers=["o", "s", "D"])plt.show()```#### Creating a point plot---Here's the code to create the point plot we just saw. Since this is a categorical plot, we use `"catplot"` and set `"kind"` equal to `"point"`. Refer to this code chunk @fig-masculinity-point-bar.#### Disconnecting the points---Sometimes we may want to remove the lines connecting each point, perhaps because we only wish to compare within a category group and not between them. To do this, set the `"join"` parameter equal to `False`.```{python}#| label: fig-masculinity-point-bar1#| fig-cap: "Importance of Being Seen as Masculine by Age Group and Self-Perception — Point Plot."# Import librariesimport matplotlib.pyplot as pltimport seaborn as snsimport pandas as pd# Data provided by the user, extended to 20 rowsmasculinity = {'participant_id': list(range(1, 21)),'age': [35, 42, 29, 51, 37, 30, 45, 55, 25, 33, 40, 48, 28, 39, 47, 53, 26, 34, 43, 50],'how_masculine': ['very', 'somewhat', 'very', 'not at all', 'somewhat', 'very', 'somewhat', 'very', 'not at all', 'somewhat', 'very', 'somewhat', 'very', 'not at all', 'somewhat', 'very', 'somewhat', 'very', 'not at all', 'somewhat'],'how_important': ['very', 'somewhat', 'not very', 'somewhat', 'very', 'very', 'somewhat', 'not very', 'somewhat', 'very', 'very', 'somewhat', 'not very', 'somewhat', 'very', 'very', 'somewhat', 'not very', 'somewhat', 'very']}# Create the DataFramedf = pd.DataFrame(masculinity)# Create age groupsbins = [20, 30, 40, 50, 60]labels = ['21–30', '31–40', '41–50', '51–60']df['age_group'] = pd.cut(df['age'], bins=bins, labels=labels, right=False)# --- POINT PLOT ---sns.catplot( x="age_group", y="percent_important", hue="how_masculine", data=summary, kind="point", markers=["o", "s", "D"], join =False)plt.show()```#### Displaying the median---Let's return to the point plot using the **tips** dataset and go over a few more ways to customize your point plots. Here is the point plot of **average bill comparing smokers to non-smokers**. To have the points and confidence intervals be calculated for the **median** instead of the mean, we import the `median` function from the **NumPy** library and set the `"estimator"` parameter equal to the NumPy median function. Why might you want to use the **median** instead of the mean? The median is more robust to **outliers**, so if your dataset contains extreme values, the median can provide a better measure of the typical observation.```{python}#| label: fig-catplot-smoker-median#| fig-cap: "Median total bill by smoking status (tips dataset) using catplot."#| fig-width: 6#| fig-height: 4# Import librariesimport seaborn as snsimport matplotlib.pyplot as pltimport numpy as np# Load the built-in 'tips' datasettips = sns.load_dataset("tips")# Create a point plot using catplot with median as the estimatorsns.catplot(data=tips,x="smoker",y="total_bill",kind="point",estimator=np.median # Use median instead of mean)# Show the plotplt.show()```#### Customizing the confidence intervals---You can also customize the way that the confidence intervals are displayed. To add `“caps”` to the end of the confidence intervals, set the `“capsize”` parameter equal to the desired width of the caps. In this case, we chose a width of 0.2.```{python}#| label: fig-catplot-smoker-median2#| fig-cap: "Median total bill by smoking status (tips dataset) using catplot."#| fig-width: 6#| fig-height: 4# Import librariesimport seaborn as snsimport matplotlib.pyplot as pltimport numpy as np# Load the built-in 'tips' datasettips = sns.load_dataset("tips")# Create a point plot using catplot with median as the estimatorsns.catplot(data=tips,x="smoker",y="total_bill",kind="point",estimator=np.median, # Use median instead of meancapsize=0.2# Add small caps to error bars)# Add a main titleplt.suptitle("Median Total Bill by Smoking Status", y=1.02, fontsize=13)# Show the plotplt.show()```#### Turning off confidence intervals---Finally, like we saw with line plots and bar plots, you can turn the confidence intervals off by setting the "errorbar" parameter equal to `None`.```{python}#| label: fig-catplot-smoker-median3#| fig-cap: "Median total bill by smoking status (tips dataset) using catplot."#| fig-width: 6#| fig-height: 4# Import librariesimport seaborn as snsimport matplotlib.pyplot as pltimport numpy as np# Load the built-in 'tips' datasettips = sns.load_dataset("tips")# Create a point plot using catplot with median as the estimatorsns.catplot(data=tips,x="smoker",y="total_bill",kind="point",estimator=np.median, # Use median instead of meancapsize=0.1, # Add small caps to error barserrorbar=None)# Add a main titleplt.suptitle("Median Total Bill by Smoking Status", y=1.02, fontsize=13)# Show the plotplt.show()```### Exercise 4.1---1. Use `sns.catplot()` and the `student_data` DataFrame to create a point plot with `"famrel"` on the x-axis and number of absences (`"absences"`) on the y-axis.```{python}# Import packagesimport matplotlib.pyplot as pltimport seaborn as snsimport pandas as pd# Import datasetstudent_data = pd.read_csv('datasets/student-alcohol-consumption.csv')sns.catplot(x="famrel", y="absences", data=student_data, kind="point")# Show plotplt.show()```2. Add `"caps"` to the end of the confidence intervals with size 0.2.```{python}# Import packagesimport matplotlib.pyplot as pltimport seaborn as snsimport pandas as pd# Import datasetstudent_data = pd.read_csv('datasets/student-alcohol-consumption.csv')sns.catplot(x="famrel", y="absences", data=student_data, kind="point", capsize=0.2)# Show plotplt.show()```3. Remove the lines joining the points in each category.```{python}# Import packagesimport matplotlib.pyplot as pltimport seaborn as snsimport pandas as pd# Import datasetstudent_data = pd.read_csv('datasets/student-alcohol-consumption.csv')sns.catplot(x="famrel", y="absences", data=student_data, kind="point", capsize=0.2, join=False)# Show plotplt.show()```4. Use `sns.catplot()` and the `student_data` DataFrame to create a point plot with relationship status (`"romantic"`) on the x-axis and number of absences (`"absences"`) on the y-axis. Color the points based on the school that they attend (`"school"`).```{python}# Import packagesimport matplotlib.pyplot as pltimport seaborn as snsimport pandas as pd# Import datasetstudent_data = pd.read_csv('datasets/student-alcohol-consumption.csv')sns.catplot(x="romantic", y="absences", data=student_data, kind="point", hue="school")# Show plotplt.show()```5. Since there may be outliers of students with many absences, use the median function that we've imported from `numpy` to display the `median` number of absences instead of the average.```{python}# Import packagesimport matplotlib.pyplot as pltimport seaborn as snsimport pandas as pd# Import datasetstudent_data = pd.read_csv('datasets/student-alcohol-consumption.csv')# Import median function from numpyfrom numpy import median# Plot the median number of absences instead of the meansns.catplot(x="romantic", y="absences", data=student_data, kind="point", hue="school", errorbar=None, estimator=median)# Show plotplt.show()```### Chapter 5: Changing plot style and color {#sec-C5}---So far we've covered how to create a variety of different plot types. Now let's learn how to customize them.#### Why customize?---By default, Seaborn plots are pleasing to look at, but there are several reasons you may want to change the appearance. Changing the style of a plot can be motivated by personal preference, but it can also help improve its readability or help orient an audience more quickly to the key takeaway.#### Changing the figure style---Seaborn has five preset figure styles which change the background and axes of the plot. You can refer to them by name: **`"white`"**, **"`dark`"**, **`"whitegrid"`**, **`"darkgrid"`**, and **`"ticks"`**. To set one of these as the global style for all of your plots, use the `"set style"` function.#### Default figure style ("white")---This is a plot, @fig-masculinity-point-bar, we've seen before, showing the percentage of men reporting that masculinity was important to them, stratified by their age and whether or not they feel masculine. The default style is called "white" and provides clean axes with a solid white background. If we only care about the comparisons between groups or the general trend across age groups instead of the specific values, this is a good choice.#### Figure style: "whitegrid"---Changing the style to `"whitegrid"` will add a gray grid in the background. This is useful if you want your audience to be able to determine the specific values of the plotted points instead of making higher level observations.```{python}#| label: fig-masculinity-point-bar2#| fig-cap: "Importance of Being Seen as Masculine by Age Group and Self-Perception."import pandas as pdimport seaborn as snsimport matplotlib.pyplot as plt# Set the style to "whitegrid"sns.set_style("whitegrid")# Original datamasculinity = {'participant_id': list(range(1, 21)),'age': [35, 42, 29, 51, 37, 30, 45, 55, 25, 33, 40, 48, 28, 39, 47, 53, 26, 34, 43, 50],'how_masculine': ['very', 'somewhat', 'very', 'not at all', 'somewhat', 'very', 'somewhat', 'very','not at all', 'somewhat', 'very', 'somewhat', 'very', 'not at all', 'somewhat','very', 'somewhat', 'very', 'not at all', 'somewhat'],'how_important': ['very', 'somewhat', 'not very', 'somewhat', 'very', 'very', 'somewhat', 'not very','somewhat', 'very', 'very', 'somewhat', 'not very', 'somewhat', 'very', 'very','somewhat', 'not very', 'somewhat', 'very']}# Create age groupsbins = [20, 30, 40, 50, 60]labels = ['21–30', '31–40', '41–50', '51–60']df['age_group'] = pd.cut(df['age'], bins=bins, labels=labels, right=False)# Compute % of "very" or "somewhat" important by age group & masculinitydf['important_binary'] = df['how_important'].isin(['very', 'somewhat']).astype(int)summary = ( df.groupby(['age_group', 'how_masculine'])['important_binary'] .mean() .reset_index(name='percent_important'))summary['percent_important'] *=100# --- BAR PLOT ---sns.catplot( x="age_group", y="percent_important", hue="how_masculine", data=summary, kind="bar")plt.show()```#### Other styles---The other styles are variants on these. `"ticks"` is similar to `"white"`, but adds small tick marks to the x- and y-axes. `"dark"` provides a gray background, and `"darkgrid"` provides a gray background with a white grid.```{python}#| label: fig-masculinity-point-bar3#| fig-cap: "Importance of Being Seen as Masculine by Age Group and Self-Perception."import pandas as pdimport seaborn as snsimport matplotlib.pyplot as plt# Set the style to "whitegrid"sns.set_style("whitegrid")# Original datamasculinity = {'participant_id': list(range(1, 21)),'age': [35, 42, 29, 51, 37, 30, 45, 55, 25, 33, 40, 48, 28, 39, 47, 53, 26, 34, 43, 50],'how_masculine': ['very', 'somewhat', 'very', 'not at all', 'somewhat', 'very', 'somewhat', 'very','not at all', 'somewhat', 'very', 'somewhat', 'very', 'not at all', 'somewhat','very', 'somewhat', 'very', 'not at all', 'somewhat'],'how_important': ['very', 'somewhat', 'not very', 'somewhat', 'very', 'very', 'somewhat', 'not very','somewhat', 'very', 'very', 'somewhat', 'not very', 'somewhat', 'very', 'very','somewhat', 'not very', 'somewhat', 'very']}# Create age groupsbins = [20, 30, 40, 50, 60]labels = ['21–30', '31–40', '41–50', '51–60']df['age_group'] = pd.cut(df['age'], bins=bins, labels=labels, right=False)# Compute % of "very" or "somewhat" important by age group & masculinitydf['important_binary'] = df['how_important'].isin(['very', 'somewhat']).astype(int)summary = ( df.groupby(['age_group', 'how_masculine'])['important_binary'] .mean() .reset_index(name='percent_important'))summary['percent_important'] *=100# --- BAR PLOT ---sns.catplot( x="age_group", y="percent_important", hue="how_masculine", data=summary, kind="bar")plt.show()```#### Changing the palette---You can change the color of the main elements of the plot with Seaborn's `"set palette"` function. Seaborn has many preset color palettes that you can refer to by name, or you can create your own custom palette. Let's see an example.#### Diverging palettes---Seaborn has a group of preset palettes called diverging palettes that are great to use if your visualization deals with a scale where the two ends of the scale are opposites and there is a neutral midpoint. Here are some examples of diverging palettes - red/blue and purple/green. Note that if you append the palette name with `"_r"`, you can reverse the palette.#### Example (default palette)---To see this in action, let's return to a count plot we've seen before of the responses of men reporting how masculine they feel.```{python}import pandas as pdimport seaborn as snsimport matplotlib.pyplot as plt# Set the style to "whitegrid"sns.set_style("whitegrid")# Set to default palettesns.set_palette("deep")# Original datamasculinity = {'participant_id': list(range(1, 21)),'age': [35, 42, 29, 51, 37, 30, 45, 55, 25, 33, 40, 48, 28, 39, 47, 53, 26, 34, 43, 50],'how_masculine': ['very', 'somewhat', 'very', 'not at all', 'somewhat', 'very', 'somewhat', 'very','not at all', 'somewhat', 'very', 'somewhat', 'very', 'not at all', 'somewhat','very', 'somewhat', 'very', 'not at all', 'somewhat'],'how_important': ['very', 'somewhat', 'not very', 'somewhat', 'very', 'very', 'somewhat', 'not very','somewhat', 'very', 'very', 'somewhat', 'not very', 'somewhat', 'very', 'very','somewhat', 'not very', 'somewhat', 'very']}# Create age groupsbins = [20, 30, 40, 50, 60]labels = ['21–30', '31–40', '41–50', '51–60']df['age_group'] = pd.cut(df['age'], bins=bins, labels=labels, right=False)# Compute % of "very" or "somewhat" important by age group & masculinitydf['important_binary'] = df['how_important'].isin(['very', 'somewhat']).astype(int)summary = ( df.groupby(['age_group', 'how_masculine'])['important_binary'] .mean() .reset_index(name='percent_important'))summary['percent_important'] *=100# --- BAR PLOT ---sns.catplot( x="age_group", y="percent_important", hue="how_masculine", data=summary, kind="bar")plt.show()```#### Example (diverging palette)---Setting this plot's palette to red/blue diverging provides a clearer contrast between the men who do not feel masculine and the men who do.```{python}import pandas as pdimport seaborn as snsimport matplotlib.pyplot as plt# Set the style to "whitegrid"sns.set_style("whitegrid")# Set a diverging color palette (reversed red-blue)sns.set_palette("RdBu_r")# Original datamasculinity = {'participant_id': list(range(1, 21)),'age': [35, 42, 29, 51, 37, 30, 45, 55, 25, 33, 40, 48, 28, 39, 47, 53, 26, 34, 43, 50],'how_masculine': ['very', 'somewhat', 'very', 'not at all', 'somewhat', 'very', 'somewhat', 'very','not at all', 'somewhat', 'very', 'somewhat', 'very', 'not at all', 'somewhat','very', 'somewhat', 'very', 'not at all', 'somewhat'],'how_important': ['very', 'somewhat', 'not very', 'somewhat', 'very', 'very', 'somewhat', 'not very','somewhat', 'very', 'very', 'somewhat', 'not very', 'somewhat', 'very', 'very','somewhat', 'not very', 'somewhat', 'very']}# Create age groupsbins = [20, 30, 40, 50, 60]labels = ['21–30', '31–40', '41–50', '51–60']df['age_group'] = pd.cut(df['age'], bins=bins, labels=labels, right=False)# Compute % of "very" or "somewhat" important by age group & masculinitydf['important_binary'] = df['how_important'].isin(['very', 'somewhat']).astype(int)summary = ( df.groupby(['age_group', 'how_masculine'])['important_binary'] .mean() .reset_index(name='percent_important'))summary['percent_important'] *=100# --- BAR PLOT ---sns.catplot( x="age_group", y="percent_important", hue="how_masculine", data=summary, kind="bar")plt.title("Importance of Being Seen as Masculine by Age Group and Self-Perception")plt.xlabel("Age Group")plt.ylabel("Percent Saying 'Very' or 'Somewhat' Important")plt.show()```#### Sequential palettes---Another group of palettes are called sequential palettes. These are a single color (or two colors blended) moving from light to dark values.#### Sequential palette example---Sequential palettes are great for emphasizing a variable on a continuous scale. One example is this plot depicting the relationship between a car's horsepower and its miles per gallon, where points grow larger and darker when the car has more cylinders.```{python}# Import packagesimport matplotlib.pyplot as pltimport seaborn as snsimport pandas as pd# Import datasetmpg = pd.read_csv("datasets/mpg.csv")# Set a sequential palette (e.g., "Blues")sns.set_palette("Blues")# Create scatter plot of horsepower vs. mpg# Map 'cylinders' to both size and color (hue)sns.relplot( x="horsepower", y="mpg", data=mpg, kind="scatter", size="cylinders", hue="cylinders", sizes=(40, 200))# Show plotplt.show()```#### Custom palettes---You can also create your own custom palettes by passing in a list of color names... or a list of hex color codes.```{python}# Import packagesimport matplotlib.pyplot as pltimport seaborn as snsimport pandas as pd# Import datasetmpg = pd.read_csv("datasets/mpg.csv")# Define a custom palette using hex codes or color namescustom_palette = ["#1f77b4", "#ff7f0e", "#2ca02c", "#d62728", "#9467bd"]# Create a mapping from unique cylinder values to colorsunique_cylinders =sorted(mpg["cylinders"].unique())palette_dict =dict(zip(unique_cylinders, custom_palette))# Create scatter plot of horsepower vs. mpgsns.relplot( x="horsepower", y="mpg", data=mpg, kind="scatter", size="cylinders", hue="cylinders", palette=palette_dict, sizes=(40, 200))# Show plotplt.show()```#### Changing the scale---Finally, you can change the scale of your plot by using the `"set context"` function. The scale options from smallest to largest are `"paper"`, `"notebook"`, `"talk"`, and `"poster"`.#### Default context: "paper"---The default context is `"paper"`.```{python}# Import packagesimport matplotlib.pyplot as pltimport seaborn as snsimport pandas as pd# Import datasetmpg = pd.read_csv("datasets/mpg.csv")# Set context to "paper" (default)sns.set_context("paper")# Create scatter plot of horsepower vs. mpgsns.relplot( x="horsepower", y="mpg", data=mpg, kind="scatter", size="cylinders")# Show plotplt.show()```#### Larger context: "talk"---You'll want to choose a larger scale like `"talk"` for posters or presentations where the audience is further away from the plot.```{python}# Import packagesimport matplotlib.pyplot as pltimport seaborn as snsimport pandas as pd# Import datasetmpg = pd.read_csv("datasets/mpg.csv")# Set context to "talk" (larger)sns.set_context("talk")# Create scatter plot of horsepower vs. mpgsns.relplot( x="horsepower", y="mpg", data=mpg, kind="scatter", size="cylinders")# Show plotplt.show()```### Exercise 5---#### Changing style and palette---1. Set the style to `"whitegrid"` to help the audience determine the number of responses in each category: `"Never"`, `"Rarely"`, `"Sometimes"`, `"Often"`, `"Always"`.2. Create a count plot of survey responses```{python}# Import packagesimport matplotlib.pyplot as pltimport seaborn as snsimport pandas as pd# Import datasetsurvey_data = pd.read_csv('datasets/young-people-survey-responses.csv')# Set the style to "whitegrid" to help the audience determine the number of responses in each category.sns.set_style("whitegrid")# Define the mapping from numerical values to categoriesadvice_mapping = {0: "Never",1: "Rarely",2: "Sometimes",3: "Often",4: "Always"}# Apply the mapping to the 'Parents' advice' columnsurvey_data["Parents' advice"] = survey_data["Parents' advice"].map(advice_mapping)# Create a count plot of survey responsescategory_order = ["Never", "Rarely", "Sometimes", "Often", "Always"]sns.catplot(x="Parents' advice", data=survey_data, kind="count", order=category_order)# Show plotplt.show()```3. Set the color palette to the sequential palette named `"Purples"`.```{python}# Import packagesimport matplotlib.pyplot as pltimport seaborn as snsimport pandas as pd# Import datasetsurvey_data = pd.read_csv('datasets/young-people-survey-responses.csv')# Set the color palette to the sequential palette named "Purples"sns.set_palette("Purples")# Define the mapping from numerical values to categoriesadvice_mapping = {0: "Never",1: "Rarely",2: "Sometimes",3: "Often",4: "Always"}# Apply the mapping to the 'Parents' advice' columnsurvey_data["Parents' advice"] = survey_data["Parents' advice"].map(advice_mapping)# Create a count plot of survey responsescategory_order = ["Never", "Rarely", "Sometimes", "Often", "Always"]sns.catplot(x="Parents' advice", data=survey_data, kind="count", order=category_order)# Show plotplt.show()```4. Set the color palette to the sequential palette named "Purples".```{python}# Import packagesimport matplotlib.pyplot as pltimport seaborn as snsimport pandas as pd# Import datasetsurvey_data = pd.read_csv('datasets/young-people-survey-responses.csv')sns.set_style("whitegrid")sns.set_palette("Purples")# Define the mapping from numerical values to categoriesadvice_mapping = {0: "Never",1: "Rarely",2: "Sometimes",3: "Often",4: "Always"}# Apply the mapping to the 'Parents' advice' columnsurvey_data["Parents' advice"] = survey_data["Parents' advice"].map(advice_mapping)# Create a count plot of survey responsescategory_order = ["Never", "Rarely", "Sometimes", "Often", "Always"]sns.catplot(x="Parents' advice", data=survey_data, kind="count", order=category_order)# Show plotplt.show()```5. Change the color palette to the diverging palette named `"RdBu"`.```{python}# Import packagesimport matplotlib.pyplot as pltimport seaborn as snsimport pandas as pd# Import datasetsurvey_data = pd.read_csv('datasets/young-people-survey-responses.csv')sns.set_style("whitegrid")sns.set_palette("RdBu")# Define the mapping from numerical values to categoriesadvice_mapping = {0: "Never",1: "Rarely",2: "Sometimes",3: "Often",4: "Always"}# Apply the mapping to the 'Parents' advice' columnsurvey_data["Parents' advice"] = survey_data["Parents' advice"].map(advice_mapping)# Create a count plot of survey responsescategory_order = ["Never", "Rarely", "Sometimes", "Often", "Always"]sns.catplot(x="Parents' advice", data=survey_data, kind="count", order=category_order)# Show plotplt.show()```6. Set the scale (`"context"`) to `"paper"`, which is the smallest of the scale options.```{python}sns.set_context("paper")# Create bar plotsns.catplot(x="Siblings", y="Loneliness", data=survey_data, kind="bar")# Show plotplt.show()```7. Change the context to `"notebook"` to increase the scale.```{python}# Import packagesimport matplotlib.pyplot as pltimport seaborn as snsimport pandas as pd# Import datasetsurvey_data = pd.read_csv('datasets/young-people-survey-responses.csv')sns.set_context("notebook")# Create bar plotsns.catplot(x="Siblings", y="Loneliness", data=survey_data, kind="bar")# Show plotplt.show()```8. Change the context to `"talk"` to increase the scale.```{python}# Import packagesimport matplotlib.pyplot as pltimport seaborn as snsimport pandas as pd# Import datasetsurvey_data = pd.read_csv('datasets/young-people-survey-responses.csv')sns.set_context("talk")# Create bar plotsns.catplot(x="Siblings", y="Loneliness", data=survey_data, kind="bar")# Show plotplt.show()```9. Change the context to `"poster"`, which is the largest scale available.```{python}# Import packagesimport matplotlib.pyplot as pltimport seaborn as snsimport pandas as pd# Import datasetsurvey_data = pd.read_csv('datasets/young-people-survey-responses.csv')sns.set_context("poster")# Create bar plotsns.catplot(x="Siblings", y="Loneliness", data=survey_data, kind="bar")# Show plotplt.show()```10. Set the style to `"darkgrid"` and custom color palette with the hex color codes `"#39A7D0"` and `"#36ADA4"`.```{python}# Import packagesimport matplotlib.pyplot as pltimport seaborn as snsimport pandas as pd# Import datasetsurvey_data = pd.read_csv('datasets/young-people-survey-responses.csv')sns.set_style("darkgrid")# Set a custom color palettesns.set_palette(["#39A7D0", "#36ADA4"])# Create the box plot of age distribution by gendersns.catplot(x="Gender", y="Age", data=survey_data, kind="box")# Show plotplt.show()```### Chapter 6.1: Adding titles and labels: Part 1 {#sec-C6}---Welcome! In the next two lessons, we'll go over one of the most important parts of any data visualization: plot titles and axis labels.#### Creating informative visualizations---We create data visualizations to communicate information, and we can't do that effectively without a clear title and informative axis labels. To see this, let's compare two versions of the same visualization. On the left, we see box plots showing the distribution of birth rates for countries in each of 11 regions. On the right, we see the same visualization with three key modifications to make it easier to understand. A title is added, which immediately orients the audience to what they're looking at. The axis labels are more informative, making it clearer that birth rate is measured per one thousand people and birth rates are measured per country in each region. Finally, the x-axis tick labels are rotated to make it clear what each region is called. Let's learn how to make these changes.#### FacetGrid vs. AxesSubplot objects---Before we go into the details of adding a title, we need to understand the underlying mechanism in Seaborn. Seaborn's plot functions create two different types of objects: `FacetGrids` and `AxesSubplots`. To figure out which type of object you're working with, first assign the plot output to a variable. In the documentation, the variable is often named `"g"`, so we'll do that here as well. Write `"type"``"g"` to return the object type. This scatter plot is an `AxesSubplot`.```{python}# Import packagesimport matplotlib.pyplot as pltimport seaborn as snsimport pandas as pd# Import datasetmpg = pd.read_csv("datasets/mpg.csv")g = sns.scatterplot(x="horsepower", y="mpg", data=mpg)type(g)```#### An Empty FacetGrid---A `FacetGrid` consists of one or more `AxesSubplots`, which is how it supports subplots.#### FacetGrid vs. AxesSubplot objects---Recall that `"relplot()"` and `"catplot()"` both support making subplots. This means that they are creating `FacetGrid` objects. In contrast, single-type plot functions like `"scatterplot()"` and `"countplot()"` return a single AxesSubplot object.### Adding a title to FacetGrid---Let's return to our messy plot from the beginning. Recall that `"catplot()"` enables subplots, so it returns a FacetGrid object. To add a title to a `FacetGrid` object, first assign the plot to the variable `"g"`. After you assign the plot to `"g"`, you can set the title using `"g.fig.suptitle"`. This tells Seaborn you want to set a title for the figure as a whole.```{python}import seaborn as snsimport matplotlib.pyplot as plt# Load Seaborn's 'tips' datasettips = sns.load_dataset("tips")# Create a box plot using catplot and assign to variable 'g'g = sns.catplot( x="day", y="total_bill", data=tips, kind="box", palette="pastel")# Add a title to the entire figureg.fig.suptitle("Distribution of Total Bill Amounts by Day")# Show the plotplt.show()```#### Adjusting height of title in FacetGrid---Note that by default, the figure title might be a little low. To adjust the height of the title, you can use the "y" parameter. The default value is 1, so setting it to 1.03 will make it a little higher than the default.```{python}#| label: fig-day-bill#| fig-cap: "Distribution of Total Bill Amounts by Day."import seaborn as snsimport matplotlib.pyplot as plt# Load Seaborn's 'tips' datasettips = sns.load_dataset("tips")# Create a box plot using catplot and assign to variable 'g'g = sns.catplot( x="day", y="total_bill", data=tips, kind="box", palette="pastel")# Add a title to the entire figureg.fig.suptitle("Distribution of Total Bill Amounts by Day", y=1.03)# Show the plotplt.show()```### Exercise 6---#### FacetGrids vs. AxesSubplots---1. Create scatter plot weight against horsepower of a vehicle.2. Identify plot type and print type.```{python}# Import packagesimport matplotlib.pyplot as pltimport seaborn as snsimport pandas as pd# Import datasetmpg = pd.read_csv("datasets/mpg.csv")# Create scatter plotg = sns.relplot(x="weight", y="horsepower", data=mpg, kind="scatter")# Identify plot typetype_of_g =type(g)# Print typeprint(f'The datatype is: {type_of_g}')```3. Create scatter plot of the above scatter plot and add title.```{python}# Import packagesimport matplotlib.pyplot as pltimport seaborn as snsimport pandas as pd# Import datasetmpg = pd.read_csv("datasets/mpg.csv")g = sns.relplot(x="weight", y="horsepower", data=mpg, kind="scatter")# Add a title "Car Weight vs. Horsepower"g.fig.suptitle("Car Weight vs. Horsepower")# Show plotplt.show()```### Chapter 6.2: Adding titles and labels: Part 2 {#sec-C6.2}---Hello! In this lesson, we'll continue learning how to customize plot titles and axis labels.#### Adding a title to AxesSubplot---In the last lesson, @sec-C6, we learned how to add a title to a `FacetGrid` object using `"g.fig.suptitle"`. To add a title to an AxesSubplot object like that from the `"box plot"` function, assign the plot to a variable and use `“g.set_title”`. You can also use the `“y”` parameter here to adjust the height of the title, @fig-day-bill.#### Titles for subplots---Now let's look at what happens if the figure has subplots. Let's say we've divided countries into two groups - group one and group two - and we've set "col" equal to `"Group"` to create a subplot for each group.Since `g` is a `FacetGrid` object, using `"g.fig.suptitle"` will add a title to the figure as a whole. To alter the subplot titles, use `"g.set_titles"` to set the titles for each `AxesSubplot`. If you want to use the variable name in the title, you can use "col name" in braces to reference the column value. Here, we've created subplot titles that display as `"this is group 2"` and `"this is group 1"`.```{python}#| label: fig-grouped-scatter#| fig-cap: "Custom Titles for Subplots Using FacetGrid."import pandas as pdimport numpy as npimport seaborn as snsimport matplotlib.pyplot as plt# Set stylesns.set_style("whitegrid")# Create DataFrame — 3 countries per groupdf = pd.DataFrame({"Country": ["Nigeria", "Kenya", "Ghana", # Group 1"France", "Germany", "Italy"# Group 2 ],"GDP_per_capita": np.random.randint(2000, 60000, 6),"Life_Expectancy": np.random.uniform(50, 85, 6),"Group": ["Group 1"] *3+ ["Group 2"] *3})# Create FacetGrid scatter plotsg = sns.relplot( data=df, x="GDP_per_capita", y="Life_Expectancy", col="Group", kind="scatter", height=4, aspect=1, hue="Country", palette="tab10")# Add a main title for the entire figureg.fig.suptitle("Life Expectancy vs GDP per Capita by Group", fontsize=14, y=1.05)# Add subplot titles dynamicallyg.set_titles("This is {col_name}")# Rotate x-axis labels for clarity (optional)plt.xticks(rotation=30)# Show plotplt.show()```#### Adding axis labels---To add axis labels, assign the plot to a variable and then call the `"set"` function. Set the parameters `"x label"` and `"y label"` to set the desired x-axis and y-axis labels, respectively. This works with both FacetGrid and AxesSubplot objects.```{python}#| label: fig-grouped-scatter-labeled#| fig-cap: "Adding Axis Labels and Subplot Titles Using FacetGrid."import pandas as pdimport numpy as npimport seaborn as snsimport matplotlib.pyplot as plt# Apply Seaborn stylesns.set_style("whitegrid")# Create DataFrame — 3 countries per groupdf = pd.DataFrame({"Country": ["Nigeria", "Kenya", "Ghana", # Group 1"France", "Germany", "Italy"# Group 2 ],"GDP_per_capita": np.random.randint(2000, 60000, 6),"Life_Expectancy": np.random.uniform(50, 85, 6),"Group": ["Group 1"] *3+ ["Group 2"] *3})# Create FacetGrid scatter plotsg = sns.relplot( data=df, x="GDP_per_capita", y="Life_Expectancy", col="Group", kind="scatter", height=4, aspect=1, hue="Country", palette="tab10")# Add a main title for the entire figureg.fig.suptitle("Life Expectancy vs GDP per Capita by Group", fontsize=14, y=1.05)# Add subplot titles dynamicallyg.set_titles("This is {col_name}")# Add axis labels using .set()g.set( xlabel="GDP per Capita (USD)", ylabel="Life Expectancy (Years)")# Rotate x-axis labels for clarity (optional)plt.xticks(rotation=30)# Show plotplt.show()```#### Rotating x-axis tick labels---Sometimes, like in the example we've seen in this lesson, your tick labels may overlap, making it hard to interpret the plot. One way to address this is by rotating the tick labels. To do this, we don't call a function on the plot object itself. Instead, after we create the plot, we call the matplotlib function `"plt.xticks"` and set `"rotation"` equal to 90 degrees. This works with both `FacetGrid` and `AxesSubplot` objects.```{python}#| label: fig-grouped-scatter-rotated#| fig-cap: "Rotating Tick Labels in FacetGrid Subplots."import pandas as pdimport numpy as npimport seaborn as snsimport matplotlib.pyplot as plt# Apply Seaborn stylesns.set_style("whitegrid")# Create datasetdf = pd.DataFrame({"Country": ["Nigeria", "Kenya", "Ghana", "Ethiopia", "South Africa","Uganda", "Tanzania", "Cameroon", "Zambia", "Rwanda","France", "Germany", "Italy", "Spain", "Sweden","Norway", "Poland", "Greece", "Portugal", "Netherlands" ],"GDP_per_capita": np.random.randint(2000, 60000, 20),"Life_Expectancy": np.random.uniform(50, 85, 20),"Group": ["Group 1"] *10+ ["Group 2"] *10})# Create FacetGrid scatter plotsg = sns.relplot( data=df, x="GDP_per_capita", y="Life_Expectancy", col="Group", kind="scatter", height=4, aspect=1, hue="Country")# Add a main title for the entire figureg.fig.suptitle("Life Expectancy vs GDP per Capita by Group", fontsize=14, y=1.05)# Add subplot titles dynamicallyg.set_titles("This is {col_name}")# Add axis labels using .set()g.set( xlabel="GDP per Capita (USD)", ylabel="Life Expectancy (Years)")# Rotate tick labels for better readabilityplt.xticks(rotation=90)# Adjust layout for spacingplt.tight_layout()plt.show()```### Exercise 6---#### Adding a title and axis labels---1. Create line plot with model year in x axis and mean of mpg of countries of origin on y axis.2. Add a title `"Average MPG Over Time"`.```{python}#| label: fig-mpg-lineplot#| fig-cap: "Average Miles per Gallon (MPG) Over Time by Origin."# Import packagesimport matplotlib.pyplot as pltimport seaborn as snsimport pandas as pd# Load datasetmpg = pd.read_csv("datasets/mpg.csv")# Compute average MPG by model year and originmpg_mean = ( mpg.groupby(['origin', 'model_year'])['mpg'] .mean() .reset_index())# Create line plotg = sns.lineplot(x="model_year", y="mpg", data=mpg_mean, hue="origin")# Add a title "Average MPG Over Time"g.set_title("Average MPG Over Time")# Show plotplt.show()```3. Create a line plot between `model_year` and mean of `mpg`. Add a title `"Average MPG Over Time"`; Add x-axis and y-axis labels ```{python}# Import packagesimport matplotlib.pyplot as pltimport seaborn as snsimport pandas as pd# Load datasetmpg = pd.read_csv("datasets/mpg.csv")# Compute average MPG by model year and originmpg_mean = ( mpg.groupby(['origin', 'model_year'])['mpg'] .mean() .reset_index())# Create line plotg = sns.lineplot(x="model_year", y="mpg", data=mpg_mean, hue="origin")# Add a title "Average MPG Over Time"g.set_title("Average MPG Over Time")# Add x-axis and y-axis labelsg.set(xlabel="Car Model Year", ylabel="Average MPG" )# Show plotplt.show()```4. Create point plot, with Countries of origin on the x-axis and acceleration on the y-axis. Rotate x-tick labels to 90 degree.```{python}# Import packagesimport matplotlib.pyplot as pltimport seaborn as snsimport pandas as pd# Import datasetmpg = pd.read_csv("datasets/mpg.csv")# Create point plotsns.catplot(x="origin", y="acceleration", data=mpg, kind="point", join=False, capsize=0.1)# Rotate x-tick labels to 90 degreeplt.xticks(rotation=90)# Show plotplt.show()```5. Set palette to `"Blues"`, Create box plot using `catplot`, with `Gender` on the x-axis and `Age` on y-axis, set hue to `Pets`, which means those interested in pets, add title.```{python}# Import packagesimport matplotlib.pyplot as pltimport seaborn as snsimport pandas as pd# Import datasetsurvey_data = pd.read_csv('datasets/young-people-survey-responses.csv')# Set palette to "Blues"sns.set_palette("Blues")# Adjust to add subgroups based on "Interested in Pets"g = sns.catplot(x="Gender", y="Age", data=survey_data, kind="box", hue="Pets")# Set title to "Age of Those Interested in Pets vs. Not"g.fig.suptitle("Age of Those Interested in Pets vs. Not")# Show plotplt.show()```6. Create a bar plot using `relplot` and setting x-axis to `Village - town` and y-axis to `Gender` and `col` to `Gender`. Add title and x and y labels.```{python}# Import packagesimport matplotlib.pyplot as pltimport seaborn as snsimport pandas as pd# Import datasetsurvey_data = pd.read_csv('datasets/young-people-survey-responses.csv')# Bar plot with subgroups and subplots# Set the figure style to "dark".sns.set_style("dark")# Adjust the bar plot code to add subplots based on "Gender", arranged in columns.g = sns.catplot(x="Village - town", y="Techno", data=survey_data, kind="bar", col="Gender")# Add the title "Percentage of Young People Who Like Techno" to this FacetGrid plot.g.fig.suptitle("Percentage of Young People Who Like Techno", y=1.02)g.set(xlabel="Location of Residence", ylabel="% Who Like Techno")# Label the x-axis "Location of Residence" and y-axis "% Who Like Techno".plt.show()```## Reference---Introduction to Data Visualization with Seaborn Course for Associate Data Scientist in Python Carrer Track in DataCamp Inc by Erin Case.